·Î±×ÀÎ | ȸ¿ø°¡ÀÔ | ±â»çÁ¦º¸ | ½ºÅ©·¦ | ´º½º·¹ÅÍ ½Åû
Home > Àüü±â»ç

ÃÖÀû ÆÐÅϱ¤ Åõ¿µ 3Â÷¿ø È­»ó °èÃø±â¼ú°ú ½Ç¿ëÈ­

ÀÔ·Â : 2010-05-13 16:23
ÆäÀ̽ººÏ º¸³»±â Æ®À§ÅÍ º¸³»±â ³×À̹ö ¹êµå º¸³»±â īī¿À ½ºÅ丮 º¸³»±â ³×À̹ö ºí·Î±× º¸³»±â

ÀÔüī¸Þ¶ó

3Â÷¿ø È­»ó°èÃøÀº µðÁöÅÐ Ä«¸Þ¶ó¸¦ ÀÌ¿ëÇÏ¿© °èÃø´ë»ó ¹°Ã¼ Ç¥¸éÀÇ ÀÔü Çü»óÀ̳ª Ä¡¼ö¸¦ ÃëµæÇÏ´Â ¹æ¹ýÀ¸·Î, ÀÌÀüºÎÅÍ ¿¬±¸µÇ°í ÀÖ¾úÁö¸¸ ½Ç¿ëÈ­¿¡ ÀÖ¾î ¿©·¯ °úÁ¦°¡ ³²¾Æ ÀÖ´Ù. ¿©±â¼­´Â ÃÖÀû°­µµº¯Á¶ ÆÐÅϱ¤ Åõ¿µ °èÃø±â¼ú°ú È­»ó°èÃø Á¦¾î±â¼úÀ» ¹ÙÅÁÀ¸·Î ½Ç¿ëÈ­ÇÑ 3Â÷¿ø È­»ó°èÃøÀåÄ¡ Áï, ÀÔüī¸Þ¶ó¸¦ ¼Ò°³ÇÑ´Ù. ÀÔüī¸Þ¶ó´Â ÀϹÝÀûÀÎ µðÁöÅÐ Ä«¸Þ¶óÀÇ °¨°¢À¸·Î °èÃø´ë»ó ¹°Ã¼ÀÇ 3Â÷¿ø µ¥ÀÌÅ͸¦ ÃëµæÇÒ ¼ö Àֱ⠶§¹®¿¡ Çü»ó, »çÀÌÁî, »ö ºÐÆ÷, Ç¥¸é¹Ý»ç Ư¼º µî Á¤º¸¸¦ ¾Ë ¼ö ¾ø´Â ¹°Ã¼¿¡ ´ëÇØ¼­µµ ÀÚµ¿ÀûÀ¸·Î °èÃøÇÒ ¼ö ÀÖ¾î ÇöÀç 3DÀ̹ÌÁö ¿¬±¸¼Ò¿¡ ÀÇÇØ Á¦Ç°È­µÇ°í ÀÖ´Ù.


¸Ó¸®¸»

ÃÖ±Ù µðÁöÅÐ Ä«¸Þ¶ó°¡ ¸¹ÀÌ º¸±ÞµÇ¾î µðÁöÅÐ Ä«¸Þ¶ó¸¦ ÀÌ¿ëÇØ °èÃø´ë»ó ¹°Ã¼ÀÇ »çÁøÃÔ¿µÀ» ½Ç½ÃÇϰí, ÃëµæÇÑ µðÁöÅÐ È­»óÀÇ ÄÄÇ»ÅÍ Ã³¸®¿¡ ÀÇÇØ ¹°Ã¼ÀÇ Ç¥¸é 3Â÷¿ø Çü»óÀ̳ª Ä¡¼ö¸¦ ÃëµæÇÏ´Â 3Â÷¿ø È­»ó °èÃø±â¼úµµ ¿Õ¼ºÇÏ°Ô ¿¬±¸µÇ°í ÀÖ´Ù. ÇöÀç ÀÚÁÖ ÀÌ¿ëµÇ°í ÀÖ´Â 3Â÷¿ø È­»ó °èÃø¹æ¹ýÀº ¼öµ¿¹ý°ú ´Éµ¿¹ýÀÇ µÎ °¡Áö ¹æ¹ýÀ¸·Î Å©°Ô ³ª´­ ¼ö ÀÖ´Ù.

¼öµ¿¹ýÀº °èÃøÀ» À§Çؼ­ °èÃø´ë»ó¹°Ã¼¿¡ ¿¡³ÊÁö¸¦ ³»Áö ¾Ê´Â ¹æ¹ýÀ¸·Î, ±× ´ëÇ¥ÀûÀÎ ¹æ¹ýÀº ½ºÅ×·¹¿À½Ã(ãÊ)ÀÌ´Ù. Àΰ£ÀÇ µÎ ´«°ú °°Àº Ä«¸Þ¶ó¸¦ 2´ë ÀÌ¿ëÇØ °èÃø´ë»ó¹°Ã¼ÀÇ »çÁøÀ» 2Àå ÃÔ¿µÇϰí, »ï°¢Ãø·®ÀÇ ¿ø¸®¿¡ ±Ù°ÅÇØ »çÁø¿¡ ÀÖ¾î °èÃø¹°Ã¼ »óÀÇ °èÃøÁ¡ÀÇ 3Â÷¿ø Á¤º¸¸¦ »êÃâÇÏ´Â ¹æ¹ýÀÌ´Ù. ±×·¯³ª ½ºÅ×·¹¿À¹ý °èÃø¿¡´Â 3°¡Áö Ä«¸Þ¶ó¿¡ ÃÔ¿µµÈ 2ÀåÀÇ »çÁø¿¡ À־ÀÇ °èÃøÁ¡ÀÇ À§Ä¡¸¦ ´ëÀÀ½ÃŰÁö ¾ÊÀ¸¸é ¾È µÇ±â ¶§¹®¿¡(ÈçÈ÷ ´ëÀÀ ¹®Á¦), ±×¸² 1¿¡ Ç¥½ÃÇÑ °Íó·³, Ư¡ÀÌ ¾ø´Â ÀÛÀº Ç¥¸éÀÇ °èÃøÀº ¸Å¿ì ¾î·Æ´Ù.

´Éµ¿¹ýÀº °èÃøÀ» À§Çؼ­ °èÃø¹°Ã¼¿¡ ¾î¶°ÇÑ ¿¡³ÊÁö¸¦ ³»´Â ¹æ¹ýÀ¸·Î, ÆÐÅϱ¤ Åõ¿µ 3Â÷¿ø °èÃøÀº ±× ´ëÇ¥ÀûÀÎ ¹æ¹ýÀÌ´Ù. ÆÐÅϱ¤ Åõ¿µ °èÃø¿¡ »ç¿ëµÇ´Â ÆÐÅϱ¤Àº ½ºÆ÷Æ®±¤À̳ª °ø°£±¸Á¶È­ ÆÐÅϱ¤ µî°ú °°Àº ÀÌġȭ½Ä(ì£ö·ûùãÒ) ÆÐÅϱ¤°ú, ³óµµ°æ»ç ÆÐÅϱ¤, °­µµº¯Á¶ ÆÐÅϱ¤, Ä÷¯º¯Á¶ ÆÐÅϱ¤ µîÀÇ ºñÀÌġȭ½ÄÀÇ 2Á¾·ù·Î ºÐ·ùÇÒ ¼ö ÀÖ´Ù. ±×¸² 2¿¡ ³ªÅ¸³½ °Íó·³, Åõ¿µÆÐÅÏÀº °èÃø´ë»ó¹°Ã¼ÀÇ Ç¥¸é¿¡ °èÃøÇϱ⠽¬¿î Ư¡À» °¡Áö°í Àֱ⠶§¹®¿¡ ´ëÀÀ ¹®Á¦´Â ÀÚ¿¬ÀûÀ¸·Î ÇØ°áµÈ´Ù. ¿¹¸¦ µé¾î ¼ÕÀüµîÀ» ÀÌ¿ëÇØ ¹°Ã¼¿¡ ºûÀ» ºñÃß¸é ±× ºûÀÇ À§Ä¡´Â ´«À¸·Î ½±°Ô ¹ß°ßµÈ´Ù.

ÀÌ ¶§¹®¿¡ ÆÐÅϱ¤ Åõ¿µ °èÃø¹æ¹ýÀº ½Ç¿ëÈ­Çϱ⠽¬¿î ±â¼ú·Î½á ÁÖ¸ñ ¹Þ°í ÀÖ´Ù. À̹ø ³í¹®Àº ÆÐÅϱ¤ Åõ¿µ 3Â÷¿ø °èÃø±â¼úÀÇ ½Ç¿ëÈ­¿¡ ÁîÀ½ÇÏ¿© ÇØ°áÇÏÁö ¾ÊÀ¸¸é ¾ÈµÇ´Â ¿©·¯ ¹®Á¦¿Í ½Ç¿ëÈ­ ¹®Á¦¸¦ ÇØ°áÇϱâ À§Çؼ­ Á¦¾ÈµÈ ÃÖÀûÆÐÅϱ¤ Åõ¿µ °èÃø±â¼ú°ú È­»ó°èÃø Á¦¾î±â¼úÀ» ±â¼úÇÑ´Ù.


ÆÐÅϱ¤ Åõ¿µ °èÃø±â¼úÀÇ ½Ç¿ëÈ­ ¹®Á¦

¿©·¯ °¡Áö ÆÐÅϱ¤ Åõ¿µ °èÃø¹æ¹ýÀÇ °øÅëÁ¡Àº, Åõ¿µÆÐÅÏ ÁÙ¹«´ÌÀÇ ¹æÇâÁ¤º¸¿Í ±æÀÌ °Å¸®Ä¡ °£ÀÇ ´ëÀÀ°ü°è¿¡¼­ °èÃøÁ¡ÀÇ ±æÀÌ °Å¸®Ä¡¸¦ ±¸ÇÏ´Â °ÍÀÌ´Ù. ¿©±â¿¡¼­ Åõ¿µ ÁÙ¹«´ÌÀÇ ¹æÇâÁ¤º¸ Áï ÁÙ¹«´ÌÀÇ ¾îµå·¹½º¸¦ ¿Ã¹Ù¸£°Ô °ËÃâÇÏ´Â °ÍÀÌ Áß¿äÇÏ´Ù.

ÀÌġȭ½Ä Åõ¿µ¹ýÀº ÁÙ¹«´Ì ¾îµå·¹½ºÀÇ °ËÃâ Á¤¹Ðµµ°¡ ³ô±â ¶§¹®¿¡ ÃÖ±Ù ½Ç¿ëÈ­µÇ°í ÀÖ´Ù. ±×·¯³ª ¿©·¯ Ƚ¼öÀÇ Åõ¿µÀ» ÇÊ¿ä·Î ÇÏ¿© °èÃø¿¡ ½Ã°£ÀÌ °É¸®°í, ºñÁ¤Áö ¹°Ã¼ÀÇ °èÃøÀ» À§ÇÑ ÀÀ¿ëÀÌ ¾î·Æ´Ù. 

ºñÀÌġȭ½Ä Åõ¿µ¹ýÀº, ÀûÀº Ƚ¼öÀÇ Åõ¿µÀ¸·Î 3Â÷¿ø Á¤º¸¸¦ »êÃâÇÒ ¼ö ÀÖ¾î µðÁöÅÐ Ä«¸Þ¶ó, ¾×Á¤À̳ª DLP ÇÁ·ÎÁ§ÅÍ ¹× ±¤¿ø°ú °°Àº Åõ¿µÀåÄ¡ÀÇ ¼º´É Çâ»ó¿¡ µû¶ó ºñÀÌġȭ ¼ö¹ýÀÇ ½Ç¿ëÈ­°¡ ¿¹»óµÇ°í ÀÖ´Ù.

ºñÀÌġȭ½Ä Åõ¿µ¹ý¿¡¼­´Â °üÃøÆÐÅÏÈ­»óÀÇ ÁÙ¹«´Ì °­µµÄ¡ ȤÀº »ö ºÐÆ÷·ÎºÎÅÍ ÁÙ¹«´ÌÀÇ ¾îµå·¹½º¸¦ ±¸ÇÏ´Â °ÍÀÌ °èÃøÀÇ ±âº»À̱⠶§¹®¿¡ °üÃøÆÐÅÏ È­»óÀÇ ÁÙ¹«´Ì °­µµ ȤÀº »ö ºÐÆ÷¿Í ÁÙ¹«´ÌÀÇ ¾îµå·¹½º¿ÍÀÇ »çÀÌ¿¡ ÀÏ´ëÀÏÀÇ ´ëÀÀ°ü°è¸¦ °¡Áö°Ô ÇÏ´Â °ÍÀÌ Áß¿äÇÏ´Ù.

±×·¯³ª ½Ç¿ëÈ­¿¡ ÁîÀ½Çؼ­´Â, °èÃø´ë»ó¹°Ã¼ÀÇ »ö, ÅØ½ºÃ³, Ç¥¸é¹Ý»çÀ² µî ¿äÀο¡ ÀÇÇØ ¹Ý»çÆÐÅÏ ÁÙ¹«´ÌÀÇ »ö°­µµ ºÐÆ÷°¡ º¯È­Çϰí ÀÖ¾î Åõ¿µÆÐÅÏ ÁÙ¹«´Ì »ö°­µµ¿ÍÀÇ ÀÏ´ëÀÏ °ü°è°¡ ±úÁ®¹ö¸®´Â °æ¿ì°¡ ¸¹´Ù. ±×·¯¹Ç·Î ´Ü¼øÇÏ°Ô ¹Ý»çÆÐÅÏÀÇ ÁÙ¹«´Ì »ö°­µµ¿¡¼­ ÁÙ¹«´ÌÀÇ ¾îµå·¹½º¸¦ ÃßÁ¤ÇÏ´Â °ÍÀº ¾î·Æ´Ù.

ÇÑÆí, Æ÷È­°¡ ¾ø´Âµ¥´Ù°¡ °¡´ÉÇÑ ÇÑ ³ÐÀº ¹üÀ§¿¡ °­µµºÐÆ÷¸¦ °¡Áø ´ÙÀ̳ª¹Í ·¹ÀÎÁöÀÇ ³ÐÀº °üÃøÆÐÅÏ È­»óÀ» ÃÔ¿µÇÏ´Â °ÍÀÌ ÀÌ»óÀûÀÌ´Ù. ±×·¯³ª ½Ç¿ëÈ­ ´Ü°è¿¡¼­ °èÃøÈ¯°æÀ̳ª °èÃøµÈ ¹°Ã¼ÀÇ »ö ºÐÆ÷, Ç¥¸é¹Ý»çÀ² µî °èÃøÁ¶°ÇÀÌ º¯È­ÇÑ °æ¿ì¿¡ °èÃø¿¡ ÇÊ¿äÇÑ °­µµºÐÆ÷¸¦ °¡Áø °üÃøÆÐÅÏ È­»óÀ» ¾òÀ» ¼ö ¾ø°Ô µÇ´Â ¹®Á¦°¡ ÀÖ´Ù. ÀÌ·Î ÀÎÇØ ÁÙ¹«´Ì Â÷¼öÀÇ °ËÃâ Á¤¹Ðµµ°¡ ¶³¾îÁ® °èÃøÀÌ ºÒ°¡´ÉÇØÁö´Â °æ¿ì°¡ ÀÖ´Ù.

¶Ç, °èÃøÁ¤¹Ðµµ¸¦ È®º¸Çϱâ À§Çؼ­ Åõ¿µÆÐÅÏÀÇ ÁÙ¹«´Ì ¼ö°¡ ¸¹À¸¸é ¸¹À»¼ö·Ï ÁÁ´Ù. ±×·¯³ª ½Ç¿ëÈ­ ½Ã¿¡ °èÃø¹°Ã¼ÀÇ Å©±â¸¦ »çÀü¿¡ ¸ð¸£´Â °æ¿ì°¡ ÀÖ¾î Åõ¿µÆÐÅÏÀÇ ÁÙ¹«´Ì ¼ö¸¦ °áÁ¤ÇÏ±â ¾î·Æ´Ù. »çÀÌÁî°¡ Å« °èÃø¹°Ã¼¿Í ÀÛÀº °èÃø¹°Ã¼¿¡ °°Àº ÁÙ¹«´Ì ¼öÀÇ ÆÐÅÏ ÈÄ(ý¦)¸¦ Åõ¿µÇÏ´Â °ÍÀº ¹°·Ð ¹Ù¶÷Á÷ÇÏÁö ¾Ê°í, °èÃø¹°Ã¼ÀÇ Å©±â¿¡ µû¶ó ¼öµ¿ÀûÀ¸·Î Åõ¿µÆÐÅÏÀÇ ÁÙ¹«´Ì ¼ö¸¦ º¯°æÇÏ´Â °Íµµ Çö½ÇÀûÀÌÁö ¾Ê´Ù. ½Ç¿ëÈ­ÀÇ ÀÔÀå¿¡¼­ »ý°¢Çϸé, ÆÐÅÏÅõ¿µ¿¡ ±Ù°ÅÇÑ 3Â÷¿ø È­»ó°èÃø¹æ¹ý¿¡ ´ëÇØ ¾Æ·¡¿Í °°Àº »çÇ×ÀÌ ¿ä±¸µÇ°í ÀÖ´Ù.


1)ºñÁ¤Áö ¹°Ã¼ÀÇ °èÃøÀ» À§Çؼ­ ÆÐÅϱ¤Àº Çѹø¹Û¿¡ Åõ¿µÇÏÁö ¾Ê´Â´Ù.

2)°èÃøÀÇ ·Î¹ö½ºÆ®¼ºÀ» À§Çؼ­ °èÃø´ë»ó¹°Ã¼ÀÇ »ö, ÅØ½ºÃ³, Ç¥¸é¹Ý»çÀ² µî ¿äÀο¡ ÀÇÇÏÁö ¾Ê°í, Åõ¿µÆÐÅÏÀÇ ÁÙ¹«´Ì ¾îµå·¹½º¸¦ È®½ÇÇÏ°Ô °ËÃâÇÑ´Ù.

3)°èÃøÁ¤¹Ðµµ(°­µµºÐÇØ´É) Çâ»óÀ» À§Çؼ­, °üÃøÆÐÅÏ È­»óÀÇ ÁÙ¹«´Ì °­µµ´Â Ä«¸Þ¶óÀÇ À¯È¿ÀûÀÎ °­µµ°èÃø ·¹ÀÎÁö Áß¿¡ À־ °¡´ÉÇÑ ÇÑ ³ÐÀº ¹üÀ§¿¡ ºÐÆ÷ÇÑ´Ù.

4)°èÃøÁ¤¹Ðµµ(À§Ä¡ºÐÇØ´É) Çâ»óÀ» À§Çؼ­ °èÃø¹°Ã¼ÀÇ À§Ä¡, Å©±â µî¿¡ ¸ÂÃç ÆÐÅÏÀÇ Åõ¿µÀå¼Ò, Å©±â ¹× °ø°£Á֯ļö ºÐÆ÷¸¦ Á¶ÀýÇϰí, º¸´Ù ¸¹Àº ÁÙ¹«´Ì¸¦ ¹°Ã¼¿¡ Åõ¿µÇÑ´Ù.


À§ÀÇ ¸ñÀûÀ» ½ÇÇöÇϱâ À§Çؼ­, À̹ø ¿¬±¸¿¡¼­´Â ÃÖÀû°­µµº¯Á¶ ÆÐÅϱ¤ Åõ¿µ±â¼ú°ú È­»ó°èÃø Á¦¾î±â¼úÀ» Á¦¾ÈÇß´Ù. ¿©±â¿¡¼­´Â ¿ì¼± Á¦¾È±â¼úÀÇ À̷пø¸®¿Í ½ÇÇö¹æ¹ýÀ» ¼Ò°³Çϰí, ±× ÈÄ ¸î °¡Áö ½Ç¿ëÈ­ ½Ç·Ê¸¦ »ìÆìº»´Ù.  


ÃÖÀû°­µµº¯Á¶ ÆÐÅϱ¤ Åõ¿µ±â¼ú

±×¸² 3Àº ÆÐÅϱ¤ Åõ¿µ 3Â÷¿ø È­»ó°èÃø ½Ã½ºÅÛÀÇ À̹ÌÁö ±×¸²À» ³ªÅ¸³½´Ù. M(x,y,z)Àº °èÃøÁ¡, P´Â Åõ±¤±âÀÇ ·»ÁîÁß½É, C´Â Ä«¸Þ¶óÀÇ ·»ÁîÁß½É, f´Â ÃÊÁ¡°Å¸®ÀÌ´Ù. °èÃøÁ¡ÀÇ XÁÂÇ¥¿Í YÁÂÇ¥´Â »ï°¢°ü°è·Î °£´ÜÇÏ°Ô ±¸ÇØÁö°í, ±æÀÌÄ¡ Z´Â (1)½Ä°ú °°ÀÌ Åõ¿µ ÁÙ¹«´ÌÀÇ ¹æÇâÁ¤º¸·ÎºÎÅÍ °è»êÇÒ ¼ö ÀÖ´Ù.

¿©±â¿¡¼­ Z´Â °èÃøÁ¡ÀÇ ±æÀÌ °Å¸®À̰í, d´Â Åõ¿µ°ú °üÃøÁÂÇ¥°è Á߽ɰ£ÀÇ °Å¸®, ±âÁö¼öÀÌ´Ù. ¥á´Â ÁÙ¹«´ÌÀÇ Åõ¿µ°¢µµ, ¥â´Â °üÃø°¢µµÀÌ´Ù. ¥â´Â °üÃøÆÐÅÏ È­»óÀ¸·ÎºÎÅÍ »êÃâÇÒ ¼ö Àֱ⠶§¹®¿¡ ¥á¸¦ ¾Ë¸é Z¸¦ ±¸ÇÒ ¼ö ÀÖ´Ù.

ÇÑÆí, ±×¸² 4¿Í °°Àº °­µµ°¡ ´ÜÁ¶·Ó°Ô º¯È­ÇÏ´Â °­µµº¯Á¶ ÆÐÅϱ¤À» ÀÌ¿ëÇÏ´Â °æ¿ì, Åõ¿µÆÐÅÏ ÁÙ¹«´Ì¿Í p °üÂûÆÐÅÏ ÁÙ¹«´ÌÀÇ °­µµ »çÀÌÀÇ ÀÏ´ëÀÏ °ü°è¿¡ µû¶ó, ¿ø¸®ÀûÀ¸·Î´Â 1ȸÀÇ Åõ¿µÀ¸·Î ÁÙ¹«´Ì ¾îµå·¹½º¸¦ »êÃâÇÏ´Â °ÍÀÌ °¡´ÉÇÏ´Ù. ±×·¯³ª Åõ¿µ±¤À̳ª Ä«¸Þ¶ó°¨±¤ Ư¼ºÀÇ ºñ¼±Çü, °èÃø¹°Ã¼ÀÇ Ç¥¸é»öÀ̳ª ¹Ý»çÀ²ÀÇ ºÒ±ÕÀϼº µîÀÇ ¿µÇâ¿¡ µû¶ó, °üÃø ÁÙ¹«´ÌÀÇ °­µµ°¡ º¯È­ÇÏ¿© Åõ¿µ ÁÙ¹«´ÌÀÇ °­µµ¿Í ÁÙ¹«´Ì ¾îµå·¹½ºÀÇ ´ëÀÀ°ü°è¸¦ Ưº°ÇÏ°Ô ¿¬°üÁöÀ» ¼ö ¾ø´Ù.

ÁÙ¹«´Ì ¾îµå·¹½ºÀÇ °ËÃâÁ¤¹Ðµµ¸¦ Á¿ìÇÏ´Â °ÍÀº ÁÙ¹«´Ì ¼ö¿Í °üÃø»ó¿¡ À־ÀÇ °¢ ÁÙ¹«´Ì °£ÀÇ °­µµÂ÷ÀÌ´Ù. ÁÙ¹«´Ì ¼ö°¡ ÀÏÁ¤Çϸé, À§ÀÇ °ËÃâÁ¤¹Ðµµ¿Í ÁÙ¹«´Ì °£ÀÇ °­µµÂ÷, ƯÈ÷ ÁÖ¸ñ ÁÙ¹«´ÌÀÇ °­µµÄ¡¿Í °ø°£ÀûÀ¸·Î ÀÎÁ¢ÇÏ´Â ÁÙ¹«´ÌÀÇ °­µµÄ¡ÀÇ Â÷¸¸À¸·Î °áÁ¤µÈ´Ù. À̹ø ¿¬±¸´Â ±×¸² 5¿Í °°Àº °­µµºÐÆ÷¸¦ °¡Áö´Â Åõ¿µÆÐÅÏ ÃÖÀû°­µµ º¯Á¶ÆÐÅÏÀ» Åõ¿µÇÏ´Â ¹æ¹ýÀ» Á¦¾ÈÇÏ´Â °ÍÀÌ´Ù. ÃÖÀû°­µµ º¯Á¶ÆÐÅÏÀº, ÁÙ¹«´ÌÀÇ °­µµº¯È­±ÔÄ¢ÀÌ ÁÙ¹«´ÌÀÇ ¹æÇâÁ¤º¸¸¦ ³ªÅ¸³»´Â °Í, Áï °üÃøÆÐÅÏÈ­»ó¿¡ À־ÀÇ ÁÖ¸ñ ÁÙ¹«´Ì¿Í ÀÎÁ¢ ÁÙ¹«´ÌÀÇ °­µµÄ¡·ÎºÎÅÍ °­µµº¯È­±ÔÄ¢À» ±¸ÇØ ±×°Í¿¡ µû¶ó ÁÙ¹«´Ì ¾îµå·¹½º¸¦ ±¸ÇÏ´Â ¹æ¹ýÀÌ´Ù. ÀÌ·Î ÀÎÇØ ÁÙ¹«´Ì °­µµÀÇ °ËÃâ¿¡ ¾î´À Á¤µµÀÇ ¿ÀÂ÷°¡ À־ ±× °­µµº¯È­±ÔÄ¢ÀÌ À¯ÁöµÇ´Â ÇÑ ¾îµå·¹½º¸¦ ¿Ã¹Ù¸£°Ô °ËÃâÇÒ ¼ö ÀÖ´Ù. ¿©±â¿¡¼­ ÁÙ¹«´ÌÀÇ °­µµº¯È­±ÔÄ¢ÀÇ ³í¸®ÀûÀÎ °Å¸®Â÷¸¦ ÃÖ´ëÈ­Çϵµ·Ï ¾Æ·¡ µÎ °¡ÁöÁ¶°ÇÀ» ¸¸Á·ÇÏ´Â Åõ¿µÆÐÅÏÀ» ÃÖÀû°­µµº¯Á¶ Åõ¿µÆÐÅÏÀ¸·Î½á Á¤ÀÇÇÑ´Ù.


(1)ÁÙ¹«´Ì °£ÀÇ °­µµÂ÷ÀÇ ÃÖ¼ÒÄ¡°¡ ÃÖ´ëÀÌ´Ù.

(2)ÁÖ¸ñ ÁÙ¹«´ÌÀÇ °­µµÄ¡¿Í °ø°£ÀûÀ¸·Î ÀÎÁ¢ÇÏ´Â ¸î °³ÀÇ ÁÙ¹«´Ì °­µµÄ¡¿ÍÀÇ Â÷°¡ ÃÖ´ëÀÌ´Ù.


´ÙÀ½À¸·Î ÃÖÀû°­µµº¯Á¶ ÆÐÅÏÀÇ ÁÙ¹«´Ì °­µµ¸¦ °áÁ¤ÇÏ´Â ¹æ¹ýÀ» ¼³¸íÇÑ´Ù. Åõ¿µÆÐÅÏ¿¡ N°³ÀÇ ÁÙ¹«´Ì°¡ ÀÖ°í, Åõ¿µ±¤ °­µµÀÇ ÃÖ´ëÄ¡¿Í ÃÖ¼ÒÄ¡¸¦ °¢°¢ Imax¿Í Imin·Î ÇÑ´Ù. i¹øÂ°ÀÇ ÁÙ¹«´ÌÀÇ °­µµ¸¦ Ii·Î ÇÏ¿©, ÁÙ¹«´ÌÀÇ °­µµºÐÆ÷°¡ (I1,I2¡¤¡¤¡¤IN)À¸·Î ÇÑ´Ù. ¿©±â¿¡¼­, Imin¡ÂIi¡ÂImax, 1¡Âi¡ÂN.

±×¸² 4¿Í °°Àº ¼±ÇüÀûÀ¸·Î °­µµºÐÆ÷¸¦ °¡Áø Åõ¿µÆÐÅÏÀÇ ÁÙ¹«´Ì °­µµ´Â ¾Æ·¡ÀÇ ½ÄÀ» ¸¸Á·½ÃŲ´Ù.

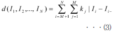
ÁÙ¹«´Ì °­µµºÐÆ÷ Á¶ÇÕ(I1, I2,¡¤¡¤¡¤ IN)¿¡ ´ëÇØ¼­, °¢ ÁÖ¸ñ ÁÙ¹«´Ì¿Í ±× ÀÎÁ¢¿µ¿ª ÁÙ¹«´ÌÀÇ °­µµÄ¡ÀÇ Â÷¸¦ Á¾ÇÕÀûÀ¸·Î Æò°¡Çϱâ À§Çؼ­, (3)½Ä°ú °°Àº Æò°¡ÇÔ¼ö d(I1, I2,¡¤¡¤¡¤IN)¸¦ Á¤ÀÇÇϰí, ÀÌ ¼öÄ¡¸¦ ÃÖ´ë·Î ÇÏ´Â Á¶ÇÕÀ» ÃÖÀûÁ¶ÇÕÀ¸·Î ÇÑ´Ù.

 

¿©±â¿¡¼­ kj´Â ¹«°Ô°³¼öÀ̰í, MÀº ±¹¼Ò¿µ¿ªÀÇ »çÀÌÁî, Áï Æò°¡ÇÔ¼ö¸¦ °ÉÄ£ ÇÊÅÍÀÇ ÆøÀÌ´Ù. ÃÖÀû°­µµº¯Á¶ Åõ¿µÆÐÅÏÀÇ »ý¼º ¾Ë°í¸®Áò¿¡ °üÇÑ ¼³¸íÀº ¿©±â¿¡¼­ »ý·«ÇÑ´Ù. ÃÖÀû°­µµÁ¶ÇÕ Åõ¿µÆÐÅÏÀ» ÀÌ¿ëÇÑ 3Â÷¿ø È­»ó°èÃøÀ» ÃÖÀûÆÐÅϱ¤ Åõ¿µ 3Â÷¿ø È­»ó°èÃøÀ̶ó°í ºÎ¸£¸ç, ÇѹøÀÇ Åõ¿µÀ¸·Î °èÃøÇÒ ¼ö Àֱ⠶§¹®¿¡ ºñÁ¤Áö ¹°Ã¼·ÎÀÇ ÀÀ¿ëÀÌ °¡´ÉÇÏ´Ù. ¶ÇÇÑ, ÁÙ¹«´ÌÀÇ ¾îµå·¹½º¸¦ ÆÇÁ¤ÇÒ ¶§¿¡, ÁÖ¸ñ ÁÙ¹«´Ì»Ó¸¸ ¾Æ´Ï¶ó ÀÎÁ¢ ÁÙ¹«´ÌÀÇ °­µµÄ¡µµ ÀÌ¿ëÇϱ⠶§¹®¿¡ ÁÙ¹«´Ì ¾îµå·¹½º ÆÇÁ¤¿¡ ÀÖ¾î ·Î¹ö½ºÆ® ¼ºÀÇ Çâ»ó¿¡ À¯È¿ÇÏ´Ù.

°èÃø¹°Ã¼ÀÇ Ç¥¸é»öÀ̳ª ¹Ý»çƯ¼º µîÀÇ ¿µÇâÀ» Á¦°ÅÇϱâ À§Çؼ­ À̹ø ¿¬±¸´Â ¹Ý»çÆÐÅϱ¤ È­»ó°ú ÆÐÅϱ¤À» Åõ¿µÇÏÁö ¾Ê°í ÃÔ¿µÇÑ ÀϹÝÁ¶¸íÈ­»óÀÇ ³ª´°¼À º¸Á¤¹æ¹ýÀ» ÀÌ¿ëÇÑ´Ù. ÃÖÀû°­µµº¯Á¶ Åõ¿µÆÐÅϰú È­»ó³ª´°¼À º¸Á¤¹æ¹ýÀÇ »ç¿ë¿¡ ÀÇÇØ ¾Õ¼­ ¾ð±ÞÇß´ø ½Ç¿ëÈ­¸¦ À§ÇÑ ¿ä±¸ 1)°ú 2)¸¦ ¸¸Á·½Ãų ¼ö ÀÖ´Ù.


½Ç¿ëÈ­¸¦ À§ÇÑ È­»ó°èÃøÁ¦¾î

Ä«¸Þ¶óÀÇ À¯È¿ÀûÀÎ °­µµ°èÃø ·¹ÀÎÁö Áï, °¨±¤Æ¯¼ºÀÇ ±Ù»çÀûÀÎ ¼±ÇüºÎºÐÀ» °üÃøÆÐÅÏ ÁÙ¹«´ÌÀÇ ÀÌ»óÀûÀÎ °­µµºÐÆ÷¹üÀ§·Î ĪÇϸç, ÀÌó·³ °­µµºÐÆ÷¸¦ °¡Áø °üÃøÆÐÅÏÈ­»óÀ» ÀÌ»óÀûÀÎ °üÃøÆÐÅÏÈ­»óÀ̶ó°í ĪÇÑ´Ù. ÀÌ»óÀûÀÎ °üÃøÆÐÅÏÈ­»óÀ» ÃëµæÇÒ ¼ö ÀÖ´Ù¸é ÀÎÁ¢ÁÙ¹«´Ì °£ÀÇ °­µµÂ÷°¡ Ä¿Á® °íÁ¤¹ÐµµÀÇ ÁÙ¹«´Ì ¾îµå·¹½º °ËÃâÀÌ °¡´ÉÇÏ´Ù. ±×·¯³ª ½Ç°èÃø½Ã, °èÃø¹°Ã¼ÀÇ »öÀ̳ª Ç¥¸é¹Ý»çÀ² µîÀÇ ¿µÇâ¿¡ ÀÇÇØ ÀÌ»óÀûÀÎ °­µµºÐÆ÷¸¦ °¡Áø È­»óÀ» ¾òÀ» ¼ö ¾ø´Â °æ¿ì°¡ ÀÖ´Ù. ±×¸² 6Àº ±× ÀÏ·ÊÀÌ´Ù. °èÃø¹°Ã¼´Â ´Ù¸¥ »öÀÇ µµ±âÀ̰í, Ä«¸Þ¶ó´Â 3CCD µðÁöÅÐ Ä«¸Þ¶ó, ÃÔ¿µ¸ðµå´Â ÀüÀÚµ¿¸ðµåÀÌ´Ù. ±×¸² 6(a)´Â °èÃø¹°Ã¼ÀÇ È­»ó, (b)´Â °­µµ°¡ 40¿¡¼­ 210±îÁö ¼±ÇüÀûÀ¸·Î º¯È­ÇÏ´Â Åõ¿µÆÐÅÏÀÌ´Ù. ±×¸² 6(c)´Â °üÃøÆÐÅÏÈ­»ó, (d)´Â °¢°¢ AA¡¯¶óÀΰú BB¡¯¶óÀÎÀÇ °­µµºÐÆ÷ÀÌ´Ù. ¿ÞÂÊ ¹°Ã¼¿¡ ºñÄ£ ÁÙ¹«´ÌÀÇ °­µµºÐÆ÷¹üÀ§´Â 15~170 Á¤µµÀ̰í, °èÃø¿¡ »ç¿ëÇÒ ¼ö ÀÖ´Â ¹üÀ§ÀÌ´Ù.

¿À¸¥ÂÊ ¹°Ã¼ÀÇ ÁÙ¹«´Ì °­µµÀÇ ºÐÆ÷¹üÀ§´Â 0~80 Á¤µµ ¹Û¿¡ ¾ø¾î ±²ÀåÈ÷ Á¼´Ù. ƯÈ÷, ¾Æ·¡¿¡¼­ºÎÅÍ 6¹øÂ° ÁÙ¹«´Ì±îÁöÀÇ °­µµÄ¡´Â 20º¸´Ù Àû¾î, ÁÙ¹«´ÌÀÇ ¾îµå·¹½º °ËÃâ¿¡ »ç¿ëÇÏ±â ¾î·Æ´Ù.

Ä«¸Þ¶óÀÇ ¿ÀÅä ¸ðµå¸¦ ÀÌ¿ëÇϸé ÀÌ»óÀûÀÎ °­µµºÐÆ÷¸¦ °¡Áø ¹Ý»çÆÐÅÏÈ­»óÀ» ¾òÀ» ¼ö ÀÖÀ» °Å¶ó°í »ý°¢ÇÒ ¼ö ÀÖÁö¸¸, Ä«¸Þ¶óÀÇ ¿ÀÅä¸ðµå´Â È­»ó ¾ÈÀÇ »çÀü¿¡ ÁöÁ¤ÇÑ Æ¯Á¤ Á¡ÀÇ °­µµÄ¡¸¦ Á¤ÇØÁø ¹æ½ÄÀ¸·Î Á¦¾îÇÏ¿© È­»óÀüüÀÇ °­µµºÐÆ÷¸¦ ÁöÁ¤¹üÀ§ ³»¿¡ ºÐÆ÷½ÃŰ´Â °Í¹Û¿¡ ÇÒ ¼ö ¾ø°í, °èÃø¹°Ã¼¿¡ ¸Â´Â ÁÙ¹«´ÌÀÇ °­µµ¸¦ ÇÊ¿äÇÑ ¹üÀ§ ³»¿¡ ºÐÆ÷½ÃŰ´Â ÀÏÀ» ÇÒ ¼ö ¾ø´Ù.

±×¸² 6(c)´Â ÀüÇüÀûÀÎ ¿¹·Î, È­»ó ´ëºÎºÐÀÇ È­¼ÒÀÇ °­µµºÐÆ÷´Â 0~230 ¹üÀ§·Î ÀÌ»óÀÌÁö¸¸, ¹Ý»ç°­µµ°¡ ³ôÀº ºÎºÐÀº ¸ðµÎ ¹è°æ¿¡ Àֱ⠶§¹®¿¡ ¾ç ¹°Ã¼¿¡ ¸Â´Â ÁÙ¹«´ÌÀÇ °­µµ´Â ¸ðµÎ ³·´Ù.

À̹ø ¿¬±¸¿¡¼­´Â ±×¸² 7°ú °°Àº È­»ó°èÃøÁ¦¾î ½Ã½ºÅÛÀ» Á¦¾ÈÇÏ¿©, ÃÔ¿µÇÑ È­»ó¿¡ À־ÀÇ °èÃø¹°Ã¼ ¹× Åõ¿µÆÐÅÏ ÁÙ¹«´ÌÀÇ °­µµºÐÆ÷¿¡ ÀÇÇØ ÀÚµ¿ÀûÀ¸·Î Åõ¿µ±â¿Í Ä«¸Þ¶óÀÇ ÆÄ¶ó¹ÌÅ͸¦ Á¶ÀýÇÑ´Ù. Á¦¾È°­µµ Á¦¾î¼ö¹ýÀÇ ½Ç¿ë¼ºÀ» Æò°¡Çϱâ À§Çؼ­ ±×¸² 8°ú °°Àº Çü»ó, ÀçÁú, »ö, ÅØ½ºÃ³, Ç¥¸é¹Ý»çÀ²ÀÌ ´Ù¸¥ ¹°Ã¼ 10°³ÀÇ °èÃøÆò°¡½ÇÇèÀ» ½Ç½ÃÇߴµ¥, 2ȸ À̳»ÀÇ Åõ¿µ±¤ Á¶Àý·Î ¸ðµç ¹°Ã¼´Â ÁÁÀº °èÃø°á°ú¸¦ ¾òÀ» ¼ö ÀÖ¾ú´Ù.

ÀÌ·¯ÇÑ È­»ó°èÃøÁ¦¾î±â¼úÀÇ »ç¿ë¿¡ µû¶ó, ¾Õ¼­ µé¾ú´ø ½Ç¿ëÈ­¸¦ À§ÇÑ ¿ä±¸ 2), 3) ¹× 4)¸¦ ¸¸Á·½Ãų ¼ö ÀÖ´Ù. ¶ÇÇÑ, ÆÐÅϱ¤ Åõ¿µÁ¦¾î¿¡ °É¸®´Â ½Ã°£¿¡ ´ëÇØ¼­´Â, 2ȸ Á¤µµÀÇ Åõ¿µ±¤ °­µµÁ¶Àý¹Û¿¡ ÇÊ¿äÇÏÁö ¾Ê±â ¶§¹®¿¡ ¿ä±¸ 1)¿¡ ÀÖ´Â ºñÁ¤Áö ¹°Ã¼·ÎÀÇ ÀÀ¿ëµµ °¡´ÉÇÏ´Ù.


ÀÔüī¸Þ¶ó(ÀüÀÚµ¿ 3Â÷¿ø °èÃø±â)ÀÇ °³¹ß°ú ½Ç¿ë

ÃÖÀû°­µµº¯Á¶ ÆÐÅϱ¤ Åõ¿µ±â¼ú°ú È­»ó°èÃø Á¦¾î±â¼úÀ» ÀÌ¿ëÇÏ¿©, ÀÔüī¸Þ¶ó(ÀüÀÚµ¿ 3Â÷¿ø °èÃø±â)¸¦ °³¹ßÇß´Ù. ±×¸² 9´Â °³¹ßÇÑ ÀÔüī¸Þ¶ó(ÀüÀÚµ¿ °èÃø±â)ÀÇ ¿Ü°üÀ¸·Î, »óÀÚ ¾È¿¡ Åõ±¤±â¿Í µðÁöÅÐ Ä«¸Þ¶ó°¡ µé¾î°¡ Àִµ¥, Åõ±¤±â´Â ÀÏ¹Ý Ä«¸Þ¶óÀÇ Ç÷¡½Ã¿¡ ÇØ´çÇÏ¸ç ½ÃÆÇµÇ´Â °ÍÀ» »ç¿ëÇϰí ÀÖ´Ù. Ä«¸Þ¶ó´Â º¸ÅëÀÇ 2Â÷¿ø½Ä µðÁöÅÐ Ä«¸Þ¶óÀ̸ç, CCD¿¡¼­µµ CMOS¿¡¼­µµ »ç¿ëÇÒ ¼ö ÀÖ´Ù. ±×¸² 10Àº °èÃø ½Ã½ºÅÛÀÇ ±¸¼ºµµÀ̰í, ÄÄÇ»ÅÍ´Â º¸ÅëÀÇ Windows ¿î¿µÃ¼Á¦¸¦ »ç¿ëÇÑ´Ù.

ÃÔ¿µÀº º¸ÅëÀÇ Ä«¸Þ¶ó °¨°¢À¸·Î, ¼ÅÅÍ ¹öư¿¡ ÇØ´çÇϴ Űº¸µåÀÇ ¡¸F1¡¹Å°¸¦ ´©¸£´Â °Í¸¸À¸·Î, Åõ¿µÆÐÅÏÀÇ °­µµºÐÆ÷, °ø°£Á֯ļö, Ä«¸Þ¶óÀÇ ÆÄ¶ó¹ÌÅÍ µîÀ» ÀÚµ¿ÀûÀ¸·Î Á¶ÀýÇϴµ¥´Ù°¡ ¹Ý»çÆÐÅÏÀ» ÃÔ¿µÇÏ¿© ÄÄÇ»ÅÍ ÇØ¼®À¸·ÎºÎÅÍ ¹°Ã¼ÀÇ 3Â÷¿ø Ç¥¸éÁ¤º¸¸¦ ÀÚµ¿ÀûÀ¸·Î »êÃâÇÑ´Ù. ¶Ç, °èÃø°á°ú´Â 3DCG¿¡ ÀÇÇÑ ½Ã°¢ÀûÀΠǥÇöÀÌ °¡´ÉÇϰí, °¢ °èÃøÀüÀÇ 3Â÷¿ø ¼¼°èÁÂÇ¥ÀÇ Ãâ·Âµµ °¡´ÉÇϸç, ÁöÁ¤ÇÑ °èÃøÀüȯÀÇ °Å¸®, ¸éÀû, ºÎÇÇ µîÀÇ °è»êµµ °¡´ÉÇÏ´Ù.  

±×¸² 10Àº °³¹ßÇÑ ÀÔüī¸Þ¶ó(ÀüÀÚµ¿ 3Â÷¿øÈ­»ó °èÃø±â)¸¦ ÀÌ¿ëÇÑ ¾ó±¼ÀÇ 3Â÷¿ø°èÃø ¿¹ÀÌ´Ù. ±×¸²¿¡¼­ ¾Ë ¼ö ÀÖµíÀÌ, Åõ¿µÆÐÅϰú ¹Ý»çÆÐÅÏÀº °°Àº ÁÙ¹«´Ì °­µµÈ­ÀÇ ±ÔÄ¢¼ºÀ» °¡Áö°í ÀÖ´Ù. ÀÌ ±ÔÄ¢¼ºÀ¸·ÎºÎÅÍ ÁÙ¹«´ÌÀÇ ¾îµå·¹½º¸¦ ¿Ã¹Ù¸£°Ô ÃßÁ¤ÇÒ ¼ö ÀÖ¾î ·Î¹ö½ºÆ®ÀûÀÎ 3Â÷¿ø °èÃøÀÌ °¡´ÉÇÏ´Ù. ÀÔüī¸Þ¶ó(ÀüÀÚµ¿ 3Â÷¿øÈ­»ó °èÃø±â)ÀÇ ½Ç¿ë ¿¹·Î½á, ´ÙÀ½°ú °°Àº ºÐ¾ß¸¦ »ý°¢ÇÒ ¼ö ÀÖ´Ù.


 

1) °øÀåÇöÀåÀÇ »ý»ê¹°ÀÇ Çü»ó°èÃø°ú ǰÁú°ü¸®

ÀÔüī¸Þ¶ó(ÀüÀÚµ¿ 3Â÷¿øÈ­»ó °èÃø±â)¿Í ¸®¾óŸÀÓ¿¡¼­ÀÇ °èÃøÀÌ °¡´ÉÇϱ⠶§¹®¿¡, °øÀåÇöÀå¿¡ À־ÀÇ »ý»ê¹°ÀÇ Çü»ó°èÃøÀ̳ª °èÃøµÈ Ä¡¼ö¿Í ¼³°èÄ¡¼ö¿Í ºñ±³ÇÏ¿© ¾çÁúÀÇ Á¦Ç°ÀÎÁö ¾î´ÑÁöÀÇ ÀÚµ¿ÆÇ´Üµµ °¡´ÉÇÏ´Ù. ÇöÀç »êÇÐÁ¦ÈÞÀÇ ÇüÅ·Π½Ç¿ëÈ­Çϰí ÀÖ´Ù.


2) 3Â÷¿ø ¾ó±¼Àνİú ½ÃÅ¥¸®Æ¼ °ü¸®

ÇöÀç ÀÔ¡¤Åð½Ç °ü¸®³ª ¹æ¹üÀ» À§ÇÑ ¾ó±¼Àνıâ¼úÀÌ Æø³Ð°Ô »ç¿ëµÇ°í ÀÖ´Ù. ±×·¯³ª ÇöÀç ÁÖ·Î »ç¿ëµÇ°í ÀÖ´Â ¾ó±¼Àνıâ¼úÀº ´ëºÎºÐ 2Â÷¿ø ¾ó±¼È­»óÀ» »ç¿ëÇϰí ÀÖ¾î, È­Àå µîÀÇ ´ëÀÀÀÌ ¾î·Æ´Ù. 3Â÷¿øÈ­»óÀ» ÀÌ¿ëÇÏ´Â ¾ó±¼ÀνÄÀÌ ÀÌÀüºÎÅÍ »ý°¢µÇ°í ÀÖ¾úÁö¸¸, Á¾·¡ÀÇ 3Â÷¿øÈ­»ó °èÃøÀåÄ¡¿¡¼­´Â ¾ó±¼ÀÇ 3Â÷¿øÈ­»ó ȹµæÀÌ °£´ÜÇÏÁö ¾Ê¾Ò±â ¶§¹®¿¡ Á»Ã³·³ ½Ç¿ëÈ­µÇ¾î ÀÖÁö ¾Ê´Ù. ±×·¯³ª ÀÔüī¸Þ¶ó´Â °£´ÜÈ÷ »ç¶÷ ¾ó±¼ÀÇ 3Â÷¿øÈ­»óÀ» ÃëµæÇÒ ¼ö Àֱ⠶§¹®¿¡ 3Â÷¿ø¾ó±¼Àνĵµ °£´ÜÇÏ°Ô ÇÒ ¼ö ÀÖ´Ù. ÇÊÀÚÀÇ ¿¬±¸½Ç¿¡¼­´Â ±¸Çü¸ðµ¨À» ÀÌ¿ëÇÑ 3Â÷¿ø¾ó±¼ÀÎ½Ä µîÀÇ ¼ö¹ýÀ» Á¦¾ÈÇÏ¿© ÇöÀç ½Ç¿ëÈ­ ¿¬±¸¸¦ ÁøÇàÇϰí ÀÖ´Ù.


3) ¼ö¼úÈ¿°úÀÇ È®ÀÎ

±¸°­¿Ü°ú³ª Á¤Çü¿Ü°ú µîÀÇ ¼ö¼ú¿¡ À־, ¼ö¼úÀüÈÄÀÇ 3Â÷¿ø»çÁøÀÇ ºñ±³¸¦ ÅëÇØ ¼ö¼úÈ¿°ú¸¦ ¾Ë±â ½±°Ô ÀÌÇØÇÏ´Â °ÍÀÌ °¡´ÉÇÏ´Ù. ±×·¯³ª ÇöÀçÀÇ 3Â÷¿ø °èÃøÀåÄ¡´Â ·¹ÀÌÀú ½ºÄ³³Ê ¹æ½ÄÀÌ ¸¹°í, »À¿¡ °üÇÑ ¼³¸í¿¡´Â ·ÛÆ®°Õ »çÁøÀÌ ´ëºÎºÐÀ¸·Î, ¸ðµÎ ȯÀÚ¿¡°Ô ¹æ»ç´É ³ëÃâÀÇ °¡´É¼ºÀÌ ÀÖ´Ù. ±×·¯³ª ÀÔüī¸Þ¶ó´Â ·¹ÀÌÀúµµ X¼±µµ »ç¿ëÇÏÁö ¾Ê°í, ´Ù¸¸ º¸ÅëÀÇ °¡½Ã±¤À» »ç¿ëÇϰí Àֱ⠶§¹®¿¡, ¾ÈÀüÇÔ°ú µ¿½Ã¿¡ ºü¸¥ ¼ÓµµÀÇ ÀÎü°èÃøÀÌ °¡´ÉÇÏ´Ù. ÇöÀç ÀÇ·áºÐ¾ß Àü¿ë °èÃø±â °³¹ßÀ» ÁøÇàÇϰí ÀÖ´Ù.   


¸ÎÀ½¸»

¿©±â¼­´Â ÆÐÅϱ¤ Åõ¿µ¿¡ ±Ù°ÅÇØ 3Â÷¿øÈ­»ó °èÃø¹æ¹ýÀÇ ½Ç¿ëÈ­ ¹®Á¦ ÇØ°áÀ» ½ÃµµÇß´Ù. À̸¦ À§ÇØ ÃÖÀû°­µµº¯Á¶ ÆÐÅϱ¤ Åõ¿µ±â¼ú°ú È­»ó°èÃø Á¦¾î±â¼úÀ» Á¦¾ÈÇÏ¿© ÀÔüī¸Þ¶ó¸¦ °³¹ßÇß´Ù. Á¦¾È±â¼úÀº ÇÑ ¹øÀÇ ÆÐÅϱ¤ Åõ¿µÀ¸·Î ¹°Ã¼ÀÇ 3Â÷¿ø°èÃøÀÌ °¡´ÉÇϱ⠶§¹®¿¡, °èÃø¼Óµµ°¡ ºü¸£°í, ºñÁ¤Áö¹°Ã¼ Çü»ó°èÃø ºÐ¾ß·ÎÀÇ ÀÀ¿ëµµ °¡´ÉÇÏ´Ù. ¶ÇÇÑ, °èÃø¹°Ã¼ÀÇ »ö ºÐÆ÷, Ç¥¸é¹Ý»çƯ¼º, Å©±â µî Á¤º¸·ÎºÎÅÍ Åõ¿µ±¤ÀÇ °­µµÄ¡ ºÐÆ÷ ¹× Åõ¿µÆÐÅÏÀÇ °ø°£Á֯ļöºÐÆ÷¸¦ ÀÚµ¿ÀûÀ¸·Î Á¶ÀýÇÒ ¼ö Àֱ⠶§¹®¿¡, Å©±â, Çü»ó, »ö ºÐÆ÷, ¹Ý»çƯ¼º µî Á¤º¸¸¦ ¾Ë ¼ö ¾ø´Â ¹°Ã¼¿¡ ´ëÇÑ ´ëÀÀµµ °¡´ÉÇÏ´Ù.

Á¦¾È±â¼úÀº °¡½Ã±¤¸¸ »ç¿ëÇϰí, ·¹ÀÌÀú³ª X¼± µî ÀÎü¿¡ À§ÇèÀ» ³¢Ä¥ °¡´É¼ºÀÌ ÀÖ´Â ¿¡³ÊÁö¸¦ »ç¿ëÇÏÁö ¾Ê±â ¶§¹®¿¡ ÀÎü°èÃø¿¡ÀÇ ÀÀ¿ëµµ °¡´ÉÇÏ´Ù. Á¦¾È±â¼úÀÇ ½Ç¿ëÈ­´Â »êÇÐÁ¦ÈÞ ÃßÁø ÇÁ·ÎÁ§Æ®·Î½á ¼öÇàµÇ¾î ±× ÀϺδ ÈÄÄí¿ÀÄ« °ø¾÷´ëÇÐÀÇ °³¹ß º¥Ã³ÀÎ 3DÀ̹ÌÁö ¿¬±¸¼Ò¸¦ ÅëÇØ Á¦Ç°È­µÇ°í ÀÖ´Ù.

<±Û : ·çÃá¿þÀÌ(Lu cun wei) ÈÄÄí¿ÀÄ«°ø¾÷´ëÇÐ>

[¿ù°£ ½ÃÅ¥¸®Æ¼¿ùµå Åë±Ç Á¦160È£(info@boannews.com)]

<ÀúÀÛ±ÇÀÚ: º¸¾È´º½º(www.boannews.com) ¹«´ÜÀüÀç-Àç¹èÆ÷±ÝÁö>

  •  
  • 0
  • ÆäÀ̽ººÏ º¸³»±â Æ®À§ÅÍ º¸³»±â ³×À̹ö ¹êµå º¸³»±â īī¿À ½ºÅ丮 º¸³»±â ³×À̹ö ºí·Î±× º¸³»±â

  • ¡°
  •  SNS¿¡¼­µµ º¸¾È´º½º¸¦ ¹Þ¾Æº¸¼¼¿ä!! 
  • ¡±
º¸¾È½ÃÀå ¹é¼­ À§Áîµð¿£¿¡½º 2018
¼³¹®Á¶»ç
¿ì¸®³ª¶ó Á¤º¸º¸È£ ¼öÁØ Çâ»óÀ» À§ÇØ ÀÌÀç¸í Á¤ºÎ¿¡°Ô °¡Àå ¹Ù¶ó´Â Á¡Àº ¹«¾ùÀΰ¡¿ä?
ISMS µî º¸¾È ÀÎÁõ Á¦µµ ½ÇÈ¿¼º °³¼±
AI º¸¾È, ¾çÀÚº¸¾È µî º¸¾È ±â¼ú ¿¬±¸°³¹ß Áö¿ø È®´ë
Áß¼Ò ±â¾÷ º¸¾È Áö¿ø È®´ë
±â¾÷ º¸¾È ¿¹»ê ºñÀ² Àǹ«È­
±¹°¡ Á¤º¸º¸È£ °Å¹ö³Í½º ü°è Á¤ºñ
±âŸ(´ñ±Û·Î)