¸Ó¸®¸»
ÃÖ±Ù ¾È½ÉÇÒ ¼ö ÀÖ°í ¾ÈÀüÇÑ »çȸ ÀÎÇÁ¶ó ±¸Ãà¿¡ ´ëÇÑ °ü½ÉÀÌ ³ô¾ÆÁö°í ÀÖ´Ù. ±×°ÍÀ» À§ÇÑ ¼ö´ÜÀÇ Çϳª·Î½á °ø°øÀÇ ¾ÈÀüÀ» È®º¸Çϱâ À§ÇÑ °¨½Ã Ä«¸Þ¶ó ½Ã½ºÅÛ ¼³Ä¡°¡ È¿°úÀûÀ̶ó°í Àνĵǰí ÀÖÀ¸¸ç, °Å¸®¿¡ ¼³Ä¡µÈ °¨½Ã Ä«¸Þ¶óÀÇ ¼ö´Â ³¯¸¶´Ù ´Ã¾î³ª°í ÀÖ´Ù. ±×·¯³ª ÇöÀç ½Ç¿ëȵǰí ÀÖ´Â ±¤¿ª°¨½Ã Ä«¸Þ¶ó ½Ã½ºÅÛÀÇ ´ëºÎºÐÀº Ȱ¢(Angle of view)ÀÌ ³ÐÀº °íÁ¤½Ä Ä«¸Þ¶ó¸¦ »ç¿ëÇϰí ÀÖÀ¸¸ç, °¨½Ã¹üÀ§°¡ ³ÐÀº ¹Ý¸é °¨½Ã´ë»óÀÎ Àι°À̳ª »ç°ÇÀÇ ÀÚ¼¼ÇÑ ¿µ»ó Á¤º¸¸¦ ¾òÀ» ¼ö ¾ø´Ù´Â ¹®Á¦Á¡ÀÌ ÀÖ´Ù.
±×·± ±î´ßÀ¸·Î ÀÌ·¯ÇÑ ¹®Á¦Á¡À» ±Øº¹Çϱâ À§ÇØ PTZ(Pan/Tilt/Zoom) Ä«¸Þ¶ó¸¦ ÀÌ¿ëÇÏ´Â °¨½Ã Ä«¸Þ¶ó ½Ã½ºÅÛÀÌ °³¹ßµÇ°í ÀÖ´Ù. PTZ Ä«¸Þ¶ó °¨½Ã ½Ã½ºÅÛ¿¡¼´Â °¨½Ã¿µ¿ª ¾È¿¡ ÀÚ¼¼ÇÏ°Ô º¸°í ½ÍÀº ´ë»ó¹°¿¡ Ä«¸Þ¶óÀÇ ½Ã¼±À» ÇâÇÏ¿© ÁÜÀÎÇÏ¿© »ó¼¼ÇÑ ¿µ»óÀ» ¾òÀ» ¼ö ÀÖ´Ù. ±×·¯³ª ÇöÀç PTZ Ä«¸Þ¶ó °¨½Ã ½Ã½ºÅÛ¿¡¼´Â ÀüÁ¦ Á¶°ÇÀ¸·Î ´ë»ó¹°ÀÌ °ÅÀÇ Á¤ÁöµÇ¾î ÀÖ¾î¾ß ÇÑ´Ù.
¿Ö³ÄÇϸé ÁÜÀÎ ÇÔÀ¸·Î½á Ä«¸Þ¶óÀÇ È°¢ÀÌ ¸Å¿ì Á¼¾ÆÁö±â ¶§¹®¿¡ ´ë»ó¹°ÀÇ ¿òÁ÷ÀÓ¿¡ µû¶ó °Ý·ÄÇÑ ¿µ»óÀÇ Èçµé¸²ÀÌ ¹ß»ýÇϰųª ´ë»ó¹°ÀÌ Ä«¸Þ¶ó ½Ã¾ß ¹Û¿¡ À̵¿ÇØ ¹ö¸°´Ù´Â ¿ì·Áµµ ÀÖ´Ù. ±×·¸±â ¶§¹®¿¡ PTZ Ä«¸Þ¶ó °¨½Ã ½Ã½ºÅÛ¿¡¼´Â ´ë»ó¹°ÀÇ ¿òÁ÷ÀÓ¿¡ ¸ÂÃß¾î PTZ Ä«¸Þ¶óÀÇ ¹æÇâÀ» Ç×»ó Á¶Á¤ÇÒ Çʿ䰡 ÀÖ´Ù.
¼±Ç࿬±¸·Î ¸î °¡ÁöÀÇ ÀÚµ¿ ÃßÀû PTZ Ä«¸Þ¶ó °¨½Ã ½Ã½ºÅÛÀÌ ¿¬±¸µÇ°í ÀÖÁö¸¸1)~3), ±×°ÍµéÀº °¨½Ã¿µ¿ªÀ» ¿Á³»·Î ÇÑÁ¤Çϰí ÀÖÀ¸¸ç ¿Á¿Ü¿¡¼ÀÇ ±¤¿ª °¨½Ã¿¡´Â ºÎÀûÇÕÇÑ ½Ã½ºÅÛÀÌ´Ù. ¿Á¿Ü¿¡¼ÀÇ °¨½Ã¿¡¼´Â ¹è°æÀ̳ª Â÷Æó¹°ÀÇ ¹®Á¦, ÃßÀû ´ë»ó¹°ÀÇ À̵¿À̳ª ȸÀü µî ¿òÁ÷ÀÓ¿¡ ´ëÇÑ °°Ç¼º µîÀÌ ÇÊ¿äÇÏ°Ô µÇ¸ç, ´ë»óÀ» ÃßÀû °¨½ÃÇϱâ À§ÇÑ È»ó 󸮰¡ ¸Å¿ì ¾î·Æ´Ù´Â ¹®Á¦°¡ ÀÖ´Ù. ÀÌµé ¹®Á¦Á¡ ¶§¹®¿¡ ÇÊÀÚµéÀÌ ¾Ë°í ÀÖ´Â ÇÑ¿¡¼´Â ±¤¿ª°¨½Ã ¿¬±¸¿¡¼ ¿Ï¼ºµÈ ÀÚµ¿ ÃßÀû PTZ Ä«¸Þ¶ó ½Ã½ºÅÛÀº ´«¿¡ ¶çÁö ¾Ê´Â´Ù.
¿©±â¿¡¼´Â ±¤¿ª °¨½Ã¿¡¼ÀÇ ¾ç¾È °¨½Ã Ä«¸Þ¶ó ½Ã½ºÅÛÀ» Á¦¾ÈÇÑ´Ù. Á¦¾ÈÇÏ´Â ½Ã½ºÅÛ¿¡¼ µÎ °³ÀÇ Ä«¸Þ¶ó¸¦ »ç¶÷ÀÇ ¾ç ´«Ã³·³ ÀÎÁ¢ÇÏ¿© ¹èÄ¡ÇÑ´Ù. ÀÌ ½Ã½ºÅÛÀ¸·Î´Â ¾ç¾È ½ºÅ×·¹¿À½Ã¿¡ ÀÇÇØ °Å¸® °èÃøÀ» ÇÒ ¼ö Àֱ⠶§¹®¿¡ °Å¸®ÀÇ Â÷ÀÌ¿¡¼ ÃßÀû ´ë»ó¹°°ú ¹è°æ, Â÷Æó¹°À» ±¸º°ÇÒ ¼ö Àִٴ Ư¡ÀÌ ÀÖ´Ù. ¶ÇÇÑ ¾ç Ä«¸Þ¶ó¸¦ ÀÎÁ¢ ¹èÄ¡ÇÔÀ¸·Î½á ¾ç¾ÈÀ¸·ÎÀÇ Ãëµæ Ȼ󿡼 È»ó°£ÀÇ Â÷À̰¡ ¹Ì¹ÌÇØÁö¸ç, ¾ç¾È ½ºÅ×·¹¿À È»ó°£ÀÇ ´ëÀÀÀÌ ¸Å¿ì ¿ëÀÌÇØÁö±â ¶§¹®¿¡ 3Â÷¿ø Á¤º¸¸¦ ½±°Ô °èÃøÇÒ ¼ö Àִٴ Ư¡ÀÌ ÀÖ´Ù. ±×·¯³ª ÀÌ¿Í °°Àº Ä«¸Þ¶ó ¹èÄ¡·Î´Â Ä«¸Þ¶ó °£ÀÇ ±â¼±°Å¸®°¡ ª¾ÆÁö¸ç, ±æÀ̰èÃøÀÇ Á¤¹Ðµµ°¡ ¶³¾îÁø´Ù´Â ´ÜÁ¡µµ ÀÖ´Ù. ±×·± ±î´ßÀ¸·Î ÃæºÐÇÑ Á¤¹Ðµµ¸¦ À¯ÁöÇϱâ À§Çؼ´Â ½Ã¾ß°¢ÀÌ Á¼Àº °í¹èÀ² Ä«¸Þ¶ó ·»Á »ç¿ëÇÏ´Â °ÍÀÌ ºÒ°¡ÇÇÇÏ´Ù. ±×·¸±â ¶§¹®¿¡ ½Ã¾ß°¢ÀÌ Á¼Àº Á¿ìÀÇ Ä«¸Þ¶ó¿¡¼ÀÇ °øÅë ½Ã¾ß¸¦ À¯ÁöÇϱâ À§ÇØ Á¿ì Ä«¸Þ¶ó¿¡¼ÀÇ ÆøÁÖ°¢(ÜßñÍÊÇ)À» ÇùÁ¶ÀûÀ¸·Î Á¦¾îÇÒ Çʿ䰡 ÀÖ´Ù.
ÇÊÀÚµéÀº ¿Á¿Ü »ç¿ëÀ» °í·ÁÇÏ¿© °¨½Ã°Å¸®¸¦ 3m~70m·Î Á¤Çϰí, ¿Á¿Ü »ç¿ëÀÌ °¡´ÉÇÑ ¾ç¾È °¨½Ã Ä«¸Þ¶ó ½Ã½ºÅÛÀ» °³¹ßÇß´Ù. À̹ø ¿¬±¸¿¡¼ ±× ¼º´É°ú È¿°ú¸¦ °ËÁõÇß´Ù.
½Ã½ºÅÛÀÇ ±¸¼º°ú µ¿Àû ±¸Á¶
±×¸² 1Àº Á¦¾ÈÇÏ´Â ¾ç¾È °¨½Ã Ä«¸Þ¶ó ½Ã½ºÅÛÀÇ ±¸¼ºµµÀÌ´Ù. »ç¶÷ÀÇ ¾È±¸ ¿îµ¿¿¡¼ ¾ç¾ÈÀÇ ¾È±¸´Â °ø¿ª ¿îµ¿(Á¿ìÀÇ ¿¬µ¿µÈ ¿òÁ÷ÀÓ)°ú ÆøÁÖ ¿îµ¿(¸ðÀÌ´Â ´« ¹æÇâÀÇ ¿òÁ÷ÀÓ)À» Çϰí, Ç×»ó µ¿ÀÏ´ë»óÀ» ÁÖ½ÃÇÒ ¼ö ÀÖ´Ù. ÀÌ ±¸Á¶¸¦ °¨½Ã Ä«¸Þ¶ó¿¡ ÀÀ¿ëÇϱâ À§ÇØ ±×¸² 1°ú °°Àº Ä«¸Þ¶ó ½Ã½ºÅÛÀ» ±¸¼ºÇß´Ù.
Motor 1°ú Motor 2¿¡ ÀÇÇØ Á¿ì Ä«¸Þ¶ó¿¡¼ Pan ¹æÇâÀÇ °ø¿ª ¿îµ¿ ¹× ÆøÁÖ ¿îµ¿À» ÇÒ ¼ö ÀÖ´Ù.
¶ÇÇÑ Tilt ¹æÇâÀÇ ¿òÁ÷ÀÓÀº °ø¿ª ¿îµ¿¸¸ °í·ÁÇÏ¸é µÈ´Ù´Â Æ¯Â¡¿¡ µû¶ó Á¿ìÀÇ Ä«¸Þ¶ó´Â ¿òÁ÷À̱⠶§¹®¿¡ Motor 3¸¸À¸·Î ÁÂ¿ì ¾çÂÊÀÇ Ä«¸Þ¶ó¸¦ Á¦¾îÇÒ ¼ö ÀÖ´Ù. Motor 4´Â »ç¶÷¿¡°Ô ºñÀ¯ÇÏÀÚ¸é ¸ñ¿¡ ÇØ´çÇÏ´Â Pan ¹æÇâÀÇ È¸ÀüÀ» Á¦¾îÇÑ´Ù.
Camera 1°ú Camera 3Àº ¸Á¿ø ·»Áî Ä«¸Þ¶óÀ̸ç, Camera 2¿Í Camera 4´Â ±¤°¢ ·»Áî Ä«¸Þ¶óÀÌ´Ù. ÀÌ ½Ã½ºÅÛ¿¡¼´Â ¸Á¿ø ·»Áî Ä«¸Þ¶ó¿Í ±¤°¢ ·»Áî Ä«¸Þ¶ó¸¦ ÇϳªÀÇ ¼¼Æ®·Î Á¦¾îÇϰí ÀÖ´Ù. ÀÌ ¸Á¿ø ·»Áî Ä«¸Þ¶ó¿Í ±¤°¢ ·»Áî Ä«¸Þ¶ó¸¦ Á¶ÇÕÇÔÀ¸·Î½á ±Ù°Å¸®¿¡¼ ¿ø°Å¸®±îÁöÀÇ Æø³ÐÀº °¨½Ã°Å¸®¸¦ ½ÇÇöÇÒ ¼ö ÀÖ´Ù, °Å¸®°¡ ¸Õ ´ë»óÀ» °¨½ÃÇÏ´Â °æ¿ì¿¡´Â ¸Á¿ø ·»Áî Ä«¸Þ¶ó¿¡¼ÀÇ È»óÀ» ÀÌ¿ëÇϰí, °Å¸®°¡ °¡±î¿î ´ë»óÀÎ °æ¿ì¿¡´Â ±¤°¢ ·»Áî Ä«¸Þ¶ó¿¡¼ÀÇ È»óÀ» ÀÌ¿ëÇÏ¿© °¨½ÃÇÑ´Ù. Camera 5´Â ±â¹Ý ºÎºÐ¿¡ °íÁ¤ÇÏ¿© ¿òÁ÷ÀÌÁö ¾Ê´Â ½Ã¾ß°¢ 180µµÀÇ Ãʱ¤°¢ ·»Áî Ä«¸Þ¶óÀ̸ç, ¿µ¿ª Àüü¸¦ °¨½ÃÇÒ ¼ö ÀÖ´Ù.
±×¸² 2´Â ÆøÁÖ Æò¸é¿¡¼ÀÇ ÁÂÇ¥°èÀÌ´Ù. ÀÌ ½Ã½ºÅÛ¿¡¼ÀÇ ±â¼±°Å¸® 1Àº 0.2mÀÌ´Ù.
°¨½Ã°Å¸®´Â 3m~70mÀ» »óÁ¤Çϰí Àֱ⠶§¹®¿¡ Ä«¸Þ¶ó¸¦ ÆøÁÖ½ÃÄÑ °¨½Ã´ë»óÀ» ÃÔ¿µÇÏ´Â °æ¿ì, Á¿ì Ä«¸Þ¶óÀÇ ÆøÁÖ°¢ÀÇ º¯È ¹üÀ§´Â ¾à 0.16~3.82¡ÆÀ̸ç, È»óÀÇ È¸Àü º¯È¯ÀÌ Àû±â ¶§¹®¿¡ ½ºÅ×·¹¿À È»óÀ» ±¸ÃàÇϱâ À§ÇÑ ´ëÀÀÁ¡ÀÇ ´ëÀÀÀÌ ¸Å¿ì ¿ëÀÌÇÏ´Ù.
ÀÌ ½Ã½ºÅÛ¿¡¼ÀÇ Ä«¸Þ¶ó ÇØ»óµµ¿Í ·»ÁîÀÇ ½Ã¾ß°¢À» Ç¥ 1¿¡ ³ªÅ¸³½´Ù. »ç¶÷ÀÇ µÎºÎ¸¦ Á÷°æ 0.25mÀÇ ±¸Ã¼·Î »óÁ¤Çϸé, ÀÌ ½Ã½ºÅÛ¿¡¼ 70m ¾ÕÀÇ »ç¶÷ÀÇ µÎºÎ´Â ¸Á¿ø Ä«¸Þ¶óÀÇ È»ó»óÀÇ Á÷°æ 57Çȼ¿ÀÇ ¿øÇü¿¡ »ó´çÇÑ´Ù. À̰ÍÀº ¾ó±¼ÀνĿ¡ ÀÖ¾î¼ ÃæºÐÇÑ È¼Ò¼öÀÌ´Ù.
±×¸² 2¿¡¼ ©ªl(©ªr)´Â ½ÃÇ¥(ãÊøö)¿Í Ä«¸Þ¶óÀÇ ·»Áî Áß½ÉÀÌ ¸¸µå´Â Á÷¼±°ú Á¦·Î¼±(±×¸² ÁßÀÇ Zero line)ÀÌ ÀÌ·ç´Â °¢ÀÌ´Ù(ÀÌÈÄ, ½ÃÇ¥ ȸÀü°¢À̶ó ºÎ¸¥´Ù). ÀÌ ½ÃÇ¥ ȸÀü°¢Àº Ä«¸Þ¶óÀÇ ¼öÆò ȸÀü°¢µµ El(Er)°ú ¼öÆò ¹æÇâ¿¡¼ ½ÃÇ¥ÀÇ ½ÃÃà¿¡¼ ¶³¾îÁö´Â °¢µµ ¥âl(¥âr)ÀÇ ÇÕÀ̱⵵ ÇÏ´Ù. ±×¸² 2¿¡¼ ½Ã°è ¹æÇâÀ» ½ÃÇ¥ ȸÀü°¢ÀÇ Á¤È¸Àü ¹æÇâÀ¸·Î Á¤ÇÑ´Ù. ¶ÇÇÑ ¥á¸¦ ÆøÁÖ°¢À̶ó ºÎ¸£¸ç, ¥á=©ªl-©ªr°¡ ¼º¸³ÇÑ´Ù. ÁÂÇ¥ÀÇ ¾È±æÀÌ °Å¸® ZTÀÇ °è»ê½ÄÀº ÀÌÇÏÀÇ ½Ä(1)·Î ±¸ÇÒ ¼ö ÀÖ´Ù.

º» ½Ã½ºÅÛ¿¡¼´Â l=0.2m, ZT¡ô(3m, 70m)°¡ µÇ¸ç, ¾È±æÀÌ °Å¸® ZT´Â ±â¼±°Å¸® lº¸´Ù ÈξÀ ±æ±â ¶§¹®¿¡ ©ªl-©ªrÀº ÃæºÐÇÏ°Ô ÀÛ°í, ½Ä(1)Àº ½Ä(2)¿¡ ±Ù»çÇÒ ¼ö ÀÖ´Ù.

¿©±â¿¡¼ ¾È±æÀÌ °Å¸®ÀÇ °èÃø ¿ÀÂ÷¿¡ ´ëÇÏ¿© »ý°¢Çϸé, ¾È±æÀÌ °Å¸® ZTÀÇ ¹ÌºÐÀº ½Ä(3)À¸·Î ±¸ÇÒ ¼ö ÀÖ´Ù.

ÀÌ ½Ã½ºÅÛÀº 3´Ü°èÀÇ ¿òÁ÷ÀÓÀ¸·Î ±¸¼ºµÈ´Ù. ¿ì¼± Á¦1´Ü°è¿¡¼´Â Ãʱ¤°¢ ·»Áî Ä«¸Þ¶ó Camera 5¿¡ ÀÇÇØ °¨½Ã¹üÀ§ ³»ÀÇ À̵¿¹°Ã¼¸¦ °ËÃâÇÑ´Ù. À̵¿¹°Ã¼°¡ Á¸ÀçÇÏ´Â °æ¿ì, °¢ ¸ðÅ͸¦ ±¸µ¿ÇÏ¿© ±× À̵¿¹°Ã¼¿¡ µµ¾à¿îµ¿(µµ¾à¼º ¾È±¸ ȸÀü ¿îµ¿)¿¡ ÀÇÇØ ´ë·«ÀûÀ¸·Î ¾ç¾È Ä«¸Þ¶óÀÇ ½Ã¼±À» À̵¿¹°Ã¼·Î ÇâÇÏ°Ô ÇÑ´Ù. ´ÙÀ½À¸·Î Á¦2´Ü°è·Î ¾ç¾È Ä«¸Þ¶ó Camera 1~Camera 4¸¦ À̵¿ ¹°Ã¼·Î ÇâÇÏ°Ô ÇÑ ÈÄ, ¾ç¾È Ä«¸Þ¶ó¿¡¼ °È¾î µéÀÎ ¿µ»ó¿¡¼ ¾ó±¼ °ËÃâÀ» ÇÑ´Ù. ¾ó±¼À» °ËÃâÇÏ´Â °æ¿ì, ±× ¾ó±¼À» ½ÃÇ¥·Î ÇÏ¿© ¾ç¾È Ä«¸Þ¶ó´Â ±× ¾ó±¼¿¡ ÇâÇÏ°Ô ÇÏ¿© ´Ù½Ã µµ¾à¿îµ¿À» ÇÑ´Ù. ¸¶Áö¸·À¸·Î Á¦ 3´Ü°è·Î ¾ç¾È Ä«¸Þ¶ó¿¡¼ ½ÃÇ¥¸¦ ¿øÈ°ÇÏ°Ô ÃßÀûÇÏ¸é¼ ÃÔ¿µÇÔÀ¸·Î½á Èçµé¸²ÀÌ ÀûÀº ¼±¸íÇÑ ¾ó±¼ ¿µ»óÀ» ÃÔ¿µÇÔ°ú µ¿½Ã¿¡ ½ÃÇ¥ÀÇ 3Â÷¿ø À§Ä¡¸¦ °èÃøÇÑ´Ù.
ÃßÀû È»ó ó¸® ¾Ë°í¸®Áò¿¡ ´ëÇØ¼´Â ¡®È»óó¸® ¾Ë°í¸®Áò¡¯ ºÎºÐ¿¡¼ »ó¼¼ÇÏ°Ô ÇØ¼³ÇÑ´Ù.
ÀÌ ¿¬±¸¿¡¼´Â ½Ã½ºÅÛÀÇ ÃßÀû ¼º´ÉÀ» Æò°¡ÇÏ´Â °ÍÀ» ¸ñÀûÀ¸·Î Çϰí ÀÖ´Ù. ±×·¸±â ¶§¹®¿¡ ½Ã¼±ÀÇ º¹¼ö °¨½Ã ´ë»ó °£ÀÇ º¯È¯ ŸÀ̹Ö, ÈçÈ÷ ¸»ÇÏ´Â ¸ÖƼ Ÿ°Ù °¨½Ã ½ºÆ®·¹Æ¼Áö(strategy)¸¦ °í·ÁÇÏÁö ¾Ê´Â´Ù. Àü¼ú Á¦1´Ü°è¿Í Á¦2´Ü°è¿¡¼ º¹¼öÀÇ ´ë»óÀ» °ËÃâÇÑ °æ¿ì, Ä«¸Þ¶ó ½ÃÃà¿¡ °¡Àå °¡±î¿î ´ë»óÀ» ÃßÀû ¸ñÇ¥·Î Çß´Ù.
ÀÌ ½Ã½ºÅÛ¿¡¼ È»ó ó¸®¿Í ¸ðÅÍ Á¦¾î´Â 1´ëÀÇ PC(Intel Xeon 3.16GHz, 4Core X2)¿¡ ÀÇÇØ ½ÇÇöÇß´Ù. ÀÌ ½Ã½ºÅÛÀÇ È»óó¸® ¼Óµµ´Â ¾à 30fpsÀÌ´Ù.
È»óó¸® ¾Ë°í¸®Áò
ÃßÀû ¾Ë°í¸®Áò¿¡ ´ëÇÏ¿© Á¾·¡ÀÇ ¹æ¹ýÀÎ ¿ÉƼÄà Ç÷οì¿Í ºí·Ï ¸ÅĪÀ» »ç¿ëÇÏ¿© ½ÇÇèÀ» ÇÑ °á°ú, ¹è°æ ȯ°æÀÇ º¹ÀâÇÔ, ÃßÀû´ë»ó ÀÚüÀÇ È¸Àü, ´Ù¸¥ ¹°Ã¼¿¡ ÀÇÇÑ ºÎºÐ Â÷ÆóÀÇ ¿µÇâÀ¸·Î ÃßÀû ½ÇÆÐÀ²ÀÌ ³ô´Ù´Â ¹®Á¦°¡ ÀÖ¾ú´Ù. ÀÌ ¹®Á¦¸¦ ÇØ°áÇϱâ À§ÇÏ¿© ÇÊÀÚµéÀº ¾ç¾È½ÃÂ÷¿Í SIFT(Scale Invariant Feature Transform)À» ±âÃÊ·Î ÇÑ µ¿Àû ÅÛÇ÷¿ °»½Å ¾Ë°í¸®ÁòÀ» Á¦¾ÈÇß´Ù. ÀÌÇÏÀÇ ±×¸² 3¿¡ ¿øÈ°ÇÏ°Ô ÃßÀû ¸ðµåÀÇ Ç÷ÎÂ÷Æ®¸¦ ³ªÅ¸³½´Ù. ±×¸² 3ÀÇ Ç÷ÎÂ÷Æ®¿¡¼ÀÇ ¾ç¾È ÇùÁ¶ Á¦¾î ¸ðµ¨¿¡ ´ëÇØ¼´Â ¡®¾ç¾È Ä«¸Þ¶óÀÇ ÇùÁ¶ Á¦¾î¡¯ ºÎºÐ¿¡¼ »ó¼¼ÇÏ°Ô ÇØ¼³ÇÑ´Ù.
¾ç¾È½ÃÂ÷¶õ ¿ÞÂÊ ´«°ú ¿À¸¥ÂÊ ´«ÀÇ ½ÃÁ¡ÀÇ Â÷ÀÌ¿¡ ÀÇÇÑ ¾ç¾È»óÀÇ ¾î±ß³²À» ¸»ÇÑ´Ù. ±×¸² 4¿¡ ÁÖ½ÃÁ¡°ú ½ÃÂ÷ÀÇ °ü°è¸¦ ³ªÅ¸³½´Ù. Á¿ì Ä«¸Þ¶ó¿¡¼ ·»Áî ±¤ÇÐ Á߽ɰú ÁÖ½ÃÁ¡ÀÇ 3Á¡À» Åë°úÇÏ´Â ¿øÀº È£·ÓÅÍ(horopter) ¿øÀ¸·Î ºÒ¸®°í ÀÖÀ¸¸ç, È£·ÓÅÍ ¿ø »ó¿¡ Á¸ÀçÇÏ´Â ¹°Ã¼ÀÇ ¾ç¾È½ÃÂ÷´Â ³í¸®»ó ¾ø´Ù°í ÇÒ ¼ö ÀÖ´Ù. Áï, È£·ÓÅÍ ¿ø¿¡ °¡±î¿î ¹°Ã¼ÀÇ ¾ç¾È½ÃÂ÷´Â ÀÛ°í, È£·ÓÅÍ ¿ø¿¡¼ÀÇ °Å¸®°¡ ¸Ö¾îÁú¼ö·Ï ¹°Ã¼ÀÇ ¾ç¾È½ÃÂ÷´Â Ä¿Áö´Â Ư¡ÀÌ ÀÖ´Ù.
SIFT´Â Ư¡Á¡ÀÇ °ËÃâ°ú Ư¡·®À» ±â¼úÇÏ´Â ¾Ë°í¸®ÁòÀÌ´Ù. °ËÃâÇÑ Æ¯Â¡Á¡¿¡ ´ëÇÏ¿© È»óÀÇ È¸Àü, ½ºÄÉÀÏ º¯È, Á¶¸í º¯È µî¿¡ ±âÃÊÇÑ Æ¯Â¡·®À» ±â¼úÇÒ ¼ö Àֱ⠶§¹®¿¡ È»óÀÇ ¸ÅĪÀ̳ª ¹°Ã¼ ÀνÄ, °ËÃâ¿¡ ³Î¸® ÀÌ¿ëµÇ¾î ¿À°í ÀÖ´Ù.4)5)6)
ÀÌ ½Ã½ºÅÛ¿¡¼´Â ¿ì¼± ÃßÀû´ë»óÀÌ µÇ´Â ¾ó±¼À» Á¤ÇÑ ÈÄ, ±× ¾ó±¼ÀÇ SIFT Ư¡Á¡°ú Ư¡·®À» ÃßÃâÇÏ¿© ÅÛÇø´À¸·Î µî·ÏÇÑ´Ù. ÃßÀûÇÒ ¶§´Â ÇÁ·¹ÀÓ¸¶´Ù SIFT Ư¡Á¡°ú Ư¡·®À» ÃßÃâÇÏ¿© ¹Ì¸® µî·ÏÇØ µÐ ÅÛÇø´°ú ¸ÅĪÇÏ¿©4) ÃßÀû ´ë»óÀÇ À§Ä¡¸¦ °ËÃâÇÏ´Â ÃßÀû¹æ¹ýÀÌ´Ù. ±×·¯³ª ÃßÀû´ë»ó ÀÚüÀÇ È¸ÀüÀ̳ª ºÎºÐ Â÷Æó µî¿¡ µû¶ó ¸ÅĪ¿¡ ½ÇÆÐÇØ ¹ö¸®´Â °æ¿ì°¡ ÀÖ´Ù. ±×·± ±î´ßÀ¸·Î ÅÛÇø´À» °»½Å ¶Ç´Â Ãß°¡ µî·ÏÀ» ÇÒ Çʿ䰡 ÀÖ´Ù.
±×·² ¶§¿¡´Â ¹è°æÀ̳ª Â÷Æó¹° µîÀÇ ÃßÀû ´ë»ó¿¡ ¼ÓÇÏÁö ¾Ê´Â SIFT Ư¡Á¡À» Á¦¿ÜÇÏ¿© µî·ÏÇÏÁö ¾ÊÀ¸¸é ¾È µÈ´Ù.
ÃßÀû´ë»ó ÀÌ¿ÜÀÇ SIFT Ư¡Á¡ÀÇ Á¦°Å¹æ¹ý¿¡ ´ëÇÏ¿© ÇØ¼³ÇÑ´Ù. ÀÌ ½Ã½ºÅÛ¿¡¼ Á¿ì Ä«¸Þ¶ó ½Ã¼±Àº Ç×»ó ÃßÀû´ë»óÀ» ÁÖ½ÃÇϵµ·Ï Á¦¾îÇϱ⠶§¹®¿¡ ÅÛÇø´ °»½ÅÀÌ ÇÊ¿äÇÑ °æ¿ì¿¡µµ ÃßÀû ´ë»óÀº ¹Ýµå½Ã ÁÖ½ÃÁ¡ °¡±îÀÌ¿¡ Á¸ÀçÇÑ´Ù°í ÇÒ ¼ö ÀÖ´Ù.
±×·¸±â ¶§¹®¿¡ ÃßÀû ´ë»ó°ú ¹è°æÀ̳ª Â÷Æó¹° ½Ã½ºÅÛ¿¡¼ÀÇ °Å¸®Â÷À̸¦ °í·ÁÇϸé ÃßÀû ´ë»óÀÇ ¾ç¾È½ÃÂ÷´Â ¹è°æÀ̳ª Â÷Æó¹°ÀÇ ¾ç¾È ½ÃÂ÷º¸´Ù ÀÛ´Ù°í ÇÒ ¼ö ÀÖ´Ù. ÀÌ Æ¯Â¡¿¡ ÀÇÇØ SIFT Ư¡Á¡¿¡¼ÀÇ ¾ç¾È½ÃÂ÷ÀÇ Å©±â¿¡ µû¶ó ÃßÀû´ë»ó¿¡ ¼ÓÇϴ Ư¡Á¡ÀÎÁöÀÇ ¿©ºÎ¸¦ ÆÇº°ÇÒ ¼ö ÀÖ´Ù.
±×¸² 5´Â ¾ç¾È½ÃÂ÷¸¦ ÀÌ¿ëÇÏ¿© ÃßÀû´ë»óÀ» °ËÃâÇÑ ¿¹ÀÌ´Ù. ±×¸² ¾ÈÀÇ À§ÀÇ È»óÀÌ ¿ÞÂÊ È»óÀ̸ç, ¾Æ·¡ÀÇ È»óÀÌ ¿À¸¥ÂÊ È»óÀÌ´Ù. ³ì»öÁ¡Àº ¾ç¾È½ÃÂ÷°¡ 2Çȼ¿ À̳»·Î ¸ÅĪÇÑ SIFT Ư¡Á¡À̸ç, ÃßÀû ´ë»ó¿¡ ¼ÓÇϴ Ư¡Á¡ÀÌ´Ù. »¡°£ Á¡Àº ¾ç¾È½ÃÂ÷°¡ 2Çȼ¿ ÀÌ»óÀ¸·Î ¸ÅĪÇÑ SIFT Ư¡Á¡À̸ç, ÃßÀû ´ë»ó¿¡´Â ¼ÓÇÏÁö ¾Ê´Â Ư¡Á¡ÀÌ´Ù. ÀÌ ½ÇÇè¿¡ ÀÇÇØ ¾ç¾È½ÃÂ÷¸¦ ÀÌ¿ëÇÏ¿© ÃßÀû ´ë»ó°ú ¹è°æÀÇ SIFT Ư¡Á¡ÀÇ ÆÇº°ÀÌ °¡´ÉÇÏ´Ù´Â °ÍÀ» È®ÀÎÇß´Ù.
¾ç¾È Ä«¸Þ¶óÀÇ ÇùÁ¶ Á¦¾î
ÀÌ ½Ã½ºÅÛ¿¡¼´Â Á¿ì Ä«¸Þ¶ó °£ÀÇ ±â¼±°Å¸®°¡ ª±â ¶§¹®¿¡ ÆøÁÖ°¢ÀÇ ¿ÀÂ÷°¡ ½ÃÇ¥°Å¸® °èÃøÄ¡ÀÇ Á¤¹Ðµµ¿¡ Å« ¿µÇâÀ» ÁØ´Ù. Á¿ìÀÇ Ä«¸Þ¶ó°¡ °¢°¢ µ¶¸³ÀûÀÎ PID Á¦¾î ·çÇÁ·Î Á¦¾îµÇ°í ÀÖ´Â °æ¿ì¿¡´Â ÆøÁÖ°¢À» ¾ÈÁ¤½Ã۱â À§Çؼ °¢°¢ÀÇ ¸ðÅÍ È¸Àü ¿îµ¿¿¡¼ÀÇ Àü´Þ ÇÔ¼ö°¡ Å« ½ÃÁ¤¼ö¸¦ °¡Áú Çʿ䰡 ÀÖ´Ù. ±×·¯³ª ½ÃÁ¤¼ö¸¦ Å©°Ô Çϸé Ä«¸Þ¶óÀÇ ½ÃÃàÀ» °¡·ÎÁö¸£´Â ¹æÇâÀ¸·Î À̵¿ÇÏ´Â ¹°Ã¼ÀÇ ÃßÀûÀÌ ¾î·Á¿öÁø´Ù. ±×·¡¼ ÀÌ ½Ã½ºÅÛ¿¡¼´Â Àΰ£ÀÇ ÁÂ¾È ¾È±¸ ¿îµ¿ÀÇ ½Å°æ °æ·Î¿¡ ÀǰÅÇÑ ¾ç¾È ÇùÁ¶ Á¦¾î ¸ðµ¨7)À» »ç¿ëÇÏ¿© ÆøÁÖ°¢ÀÇ ¾ÈÁ¤È¿Í ¶Ù¾î³ ÃßÀû ¼º´É ¾çÂÊÀ» µ¿½Ã¿¡ ±¸ÇöÇß´Ù.
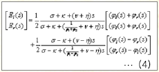
±×¸² 6Àº Àΰ£ÀÇ ¼öÆò ¾ç¾È ¾È±¸¿îµ¿ ½Å°æ°æ·ÎÀÇ ¼öÇÐ ¸ðµ¨ÀÌ´Ù. ¥ò, ¥í, ¥ê, n, ¥ñ1, ¥ñ2´Â ¾È±¸ ¿îµ¿ ¸ðµ¨ÀÇ °ÔÀÎÀÌ´Ù. ÀÌ ¾È±¸ ¿îµ¿ ¸ðµ¨À» ÇØ¼®Çϸé, ÀÌÇÏÀÇ ½Ä(4)
À» ¾òÀ» ¼ö ÀÖ´Ù.

»ó±âÀÇ ½Ä(4)¿¡¼ ¾Ë ¼ö ÀÖµíÀÌ ÁÂ¿ì ½ÃÃàÀÇ È¸Àü°¢ E1°ú E2Àº ÁÂ¿ì °¢°¢ÀÇ ´«¿¡¼ ½ÃÇ¥ ȸÀü°¢ ©ªl°ú©ªrÀÇ ÇÕ°ú Â÷ÀÇ °áÇÕÀÌ´Ù. Áï, ¸ðµ¨¿¡´Â °ø¿ª ¿îµ¿Ç×°ú ÆøÁÖ ¿îµ¿Ç× 2°³ÀÇ ´Ù¸¥ 1Â÷°èÀÇ Àü´Þ ÇÔ¼ö°¡ Á¸ÀçÇϸç, °ø¿ª ¿îµ¿ ½ÃÁ¤¼ö Tc´Â ½Ä(5), ÆøÁÖ ¿îµ¿ ½ÃÁ¤¼ö Tv´Â ½Ä(6)À¸·Î ³ªÅ¸³¾ ¼ö ÀÖ´Ù.

½Ã½ºÅÛÀÌ ¾ÈÁ¤ÀûÀÎ °è(ͧ)°¡ µÇ±â À§Çؼ´Â ¥ò>¥ê, ¥í>n, ¥ñ1>¥ñ2¸¦ ¸¸Á·ÇÒ Çʿ䰡 ÀÖ´Ù.7) º» ¿¬±¸¿¡¼´Â ´ÙÀ½°ú °°ÀÌ °ÔÀÎÀÇ ¼³Á¤À» °£´ÜÈÇÑ´Ù.
±×¸² 6¿¡¼ ¾Ë ¼ö ÀÖµíÀÌ ¾ç¾ÈÀÌ ¼·Î ¿µÇâÀ» ÁÖ´Â ÁÖµÈ °ÔÀÎÀº ¥ê, n, ¥ñ2ÀÌÁö¸¸, ¥ñ2¸¸ÀÌ ±â´ÉÇÑ °æ¿ì¿¡ À־µ ¾ç¾È ÇùÁ¶ Á¦¾î°¡ ¼º¸³µÇ±â ¶§¹®¿¡ °ÔÀÎ ¼³Á¤ÀÇ °£´Üȷμ ¥ê, nÀ» 0À¸·Î ÇÒ ¼ö ÀÖ°Ô µÈ´Ù. ¶ÇÇÑ Á¤±ÔÈÇϱâ À§ÇØ ¥ñ1+¥ñ2=1·Î ÇÑ´Ù. ½Ä (6)¿¡¼ ¾Ë ¼ö ÀÖµíÀÌ ¥ñ1°ú ¥ñ2ÀÇ Â÷¿¡ µû¶ó ¾ç¾È ÆøÁÖ ¿îµ¿ ½ÃÁ¤¼ö Tv°¡ ¹Ù²ï´Ù´Â °ü°è°¡ ÀÖ´Ù. Áï, ¥ñ1-¥ñ2°¡ ÀÛ¾ÆÁú¼ö·Ï Tv°¡ Ä¿Áø´Ù°í ÇÒ ¼ö ÀÖ´Ù. ¶ÇÇÑ, ¾ç¾ÈÀÌ Ç×»ó µ¿ÀÏÇÑ ´ë»óÀ» ÃßÀûÇϱ⠶§¹®¿¡ ÆøÁÖ°¢ÀÇ º¯È´Â °ÅÀÇ ¿Ï¸¸Çϸç, Å« Tv°¡ ¹Ù¶÷Á÷ÇÏ´Ù. µû¶ó¼ ¥ñ1-¥ñ2°¡ ÀÛ¾ÆÁöµµ·Ï ¥ñ1°ú ¥ñ2¸¦ ¼³Á¤ÇÑ´Ù. ¶ÇÇÑ °ø¿ª ¿îµ¿ ½ÃÁ¤¼ö Tc°¡ ÀÛÀ»¼ö·Ï ÃßÀû ¼º´ÉÀÌ Çâ»óµÈ´Ù. ÀÌµé °ü°è¸¦ Åä´ë·Î ¥ñ1°ú ¥ñ2¸¦ °áÁ¤ÇÑ ÈÄ, °ø¿ª ¿îµ¿ ½ÃÁ¤¼ö Tc°¡ ÀÛ¾ÆÁöµµ·Ï, ¶ÇÇÑ ÆøÁÖ ¿îµ¿ ½ÃÁ¤¼ö Tv°¡ Ä¿Áöµµ·Ï ¥ò¿Í ¥í¸¦ Á¤ÇÑ´Ù.
ÀÌ ½Ã½ºÅÛ¿¡¼´Â ±×¸² 6¿¡¼ ³ªÅ¸³½ ¸ðµ¨ÀÇ °ÔÀÎÀ» ¥ò=50, ¥í=0.1, ¥ê=0, n=0, ¥ñ1=0.51, ¥ñ2=0.49·Î ¼³Á¤Çß´Ù. µû¶ó¼ °ø¿ª ¿îµ¿ ½ÃÁ¤¼ö Tc´Â 0.022s°¡ µÇ¸ç, ÆøÁÖ ¿îµ¿ ½ÃÁ¤¼ö Tv=1s·Î Á¤Çß´Ù.
¾ç¾È ÇùÁ¶ Á¦¾î ¸ðµ¨Àº ÀÌ ½Ã½ºÅÛ¿¡¼ µÎ °³ÀÇ Áß¿äÇÑ ¿ªÇÒÀ» ÇÑ´Ù. °Å¸® °èÃø ³ëÀÌÁ Å« ÆøÀ¸·Î Àú°¨ÇÏ´Â ¿ªÇÒ°ú ÆøÁÖ°¢À» ¾ÈÁ¤ÀûÀ¸·Î Á¦¾îÇÒ ¼ö ÀÖ´Ù´Â ¿ªÇÒÀÌ´Ù. ¾ÈÁ¤µÈ ÆøÁÖ°¢ Á¦¾î¿¡ ÀÇÇØ ÀüÀå¿¡¼ ±â¼úÇÑ ¾ç¾È½ÃÂ÷¿¡ ÀÇÇÑ ÅÛÇø´ °»½ÅÀÌ °¡´ÉÇØÁø´Ù.
¿Ö³ÄÇÏ¸é ºÒ¾ÈÁ¤ÇÑ ÆøÁÖ°¢ Á¦¾î¿¡ ÀÇÇØ ½Ã½ºÅÛÀÇ ÁÖ½ÃÁ¡ÀÇ À§Ä¡°¡ ÀüÈÄ Å©°Ô Èçµé¸®°Ô µÇ¾î ÃßÀû´ë»óÀÌ È£·ÓÅÍ ¿ø¿¡¼ ¸Ö¾îÁö±â ½¬¿öÁø´Ù. ±× °á°ú ÀüÀå¿¡¼ ±â¼úÇÑ ¹æ¹ýÀ¸·ÎÀÇ ÅÛÇø´ °»½ÅÀº ÇÒ ¼ö ¾ø°Ô µÉ È®·üÀÌ ³ô°í °á°úÀûÀ¸·Î ½ÃÇ¥ ÃßÀû ¼º´ÉÀÌ ÀúÇÏµÇ°Ô µÈ´Ù.
Æò°¡ ½ÇÇè
Á¾·¡ ¹æ¹ý¿¡¼´Â ¿ø°Å¸® ÃßÀû¿¡¼ÀÇ ¹®Á¦Á¡À¸·Î¼ ÃßÀû ´ë»óÀÇ È¸ÀüÀÌ ¹®Á¦°¡ µÇ¾î ¿Ô´Ù. Á¾·¡ÀÇ ¹æ¹ý¿¡¼´Â ÃßÀû ´ë»óÀÇ È¸Àü¿¡ ÀÇÇØ ÃßÀû ´ë»óÀ» ÃßÀûÇÒ ¼ö ¾ø°Ô µÈ´Ù´Â ¹®Á¦°¡ ÀÖ¾ú´Ù. ±×·¡¼ ¿©±â¿¡¼´Â ÃÖÃÊ·Î ÃßÀû ´ë»óÀÇ È¸Àü¿¡ ´ëÇÑ ÃßÀûÀÇ °ß·Ú¼º(robustness)¿¡ ´ëÇÑ Æò°¡ ½ÇÇèÀ» ½ÃÇàÇß´Ù.
¿ì¼± ¾ç¾È½ÃÂ÷¸¦ ÀÌ¿ëÇÏ¿© ȸÀüÇÏ´Â ÃßÀû ´ë»óÀÇ µÎºÎ¸¦ °ËÃâÇÏ´Â ½ÇÇèÀ» Çß´Ù. ¾à 3.3m ¶³¾îÁø À§Ä¡¿¡ Àִ ȸÀüÀÇÀÚ¿¡ ¾ÉÀº ÇÇÇèÀÚ¸¦ ÀÌ ½Ã½ºÅÛÀ¸·Î ÁÖ½ÃÇß´Ù. ±¤°¢ ·»Áî Ä«¸Þ¶ó Camera 2¿Í Camera 4¸¦ ÀÌ¿ëÇϸé, ÇÇÇèÀÚÀÇ ¾ó±¼ÀÇ È»ó »çÀÌÁî´Â ¾à 100¡¿100 Çȼ¿ÀÌ´Ù. ÇÇÇèÀÚ´Â ¾ó±¼ÀÇ Á¤¸é(0¡Æ)¿¡¼ 10¡Æ¾¿ 90¡Æ±îÁö ȸÀüÇß´Ù. ¡®È»óó¸® ¾Ë°í¸®Áò¡¯ ºÎºÐ¿¡¼ ¼³¸íÇÑ ¹æ¹ý¿¡ ÀÇÇØ °ËÃâÇÑ ÇÇÇèÀÚÀÇ µÎºÎ¿¡ ¼ÓÇÏ´Â SIFT Ư¡Á¡ÀÇ ¼ö¸¦ ±â·ÏÇß´Ù. ±×¸² 7Àº ÀÌ ½ÇÇèÀ¸·Î ¾ò¾îÁø µÎºÎÀÇ È¸Àü °¢µµ¿¡ ´ëÇÑ °ËÃâµÈ SIFT Ư¡Á¡ Áß¿¡¼ µÎºÎ¿¡ ¼ÓÇϴ Ư¡Á¡ÀÇ ¼ö¸¦ ³ªÅ¸³½ ±×·¡ÇÁÀÌ´Ù.
±×¸² 7ÀÇ ½ÇÇè°á°ú¿¡¼ Á¦¾È¹æ¹ý¿¡ ÀÇÇØ ÇÇÇèÀÚÀÇ µÎºÎ°¡ 90¡Æ ȸÀüÇØµµ °ËÃâµÈ µÎºÎ¿¡ ¼ÓÇÏ´Â SIFT Ư¡Á¡ÀÇ ¼ö°¡ ÀÏÁ¤¼ö ÀÌ»ó ÃëµæµÇ¾î ÀÖÀ½À» È®ÀÎÇÒ ¼ö ÀÖ¾ú´Ù. Áï, ÃßÀû ´ë»óÀÇ ¹æÇâÀÌ Á¤¸é¿¡¼ ¡¾90¡Æ ȸÀüÇØµµ ÀÌ ½Ã½ºÅÛÀº ¾ÈÁ¤ÀûÀ¸·Î ÃßÀû ´ë»óÀ» °ËÃâÇÒ ¼ö ÀÖ´Ù.
ÀÌÇÏÀÇ Ç¥ 2´Â µÎºÎÀÇ °ËÃâ ¹æ¹ý¿¡ °üÇÑ Ç¥ÀÌ´Ù.
ÀÌ Ç¥´Â Á¦¾È ½Ã½ºÅÛÀÇ µÎºÎ °ËÃâ ¹æ¹ý°ú ±âÁ¸ÀÇ ¸î °¡ÁöÀÇ µÎºÎ °ËÃâ ¹æ¹ýÀÇ ºñ±³¸¦ ³ªÅ¸³»°í ÀÖ´Ù. ¿ì¸®µéÀÇ Á¦¾È ¹æ¹ý¿¡¼´Â µÎºÎ°¡ ¡¾90¡Æ ȸÀüÇØµµ °ËÃâÇÒ ¼ö ÀÖ´Ù. ´Ü, µÎºÎ´Â ¹è°æ¹°¿¡¼ Á¶±Ý ¶³¾îÁú Çʿ䰡 ÀÖ´Ù. Á¾·¡ÀÇ SIFT ¹æ¹ý¿¡¼´Â µÎºÎ°¡ Á¤¸é¿¡¼ ¡¾20¡Æ ÀÌ»ó ȸÀüÇϸé ÅÛÇø´°úÀÇ ¸ÅĪÀ» ÇÒ ¼ö ¾ø°Ô µÇ¸ç, µÎºÎ °ËÃâÀ» ÇÒ ¼ö ¾ø°Ô µÈ´Ù. ¶ÇÇÑ CAMShift¹ý, Multi-level Affine Image Registration¹ý ¹× Shape Based Tracking¹ý¿¡¼´Â ¹è°æ ³ëÀÌÁîÀÇ ¿µÇâÀ» ¹Þ±â ½±°í, ÃßÀû ´ë»ó °ËÃâÀÇ °ß·Ú¼º¿¡ °á¿©µÈ´Ù.
´ÙÀ½À¸·Î, Á¦¾È ½Ã½ºÅÛ¿¡¼ÀÇ ÃßÀûÀÇ °ß·Ú¼º¿¡ ´ëÇÑ Æò°¡ ½ÇÇèÀ» Çß´Ù. ÃßÀû ´ë»óÀº ÀÌ ½Ã½ºÅÛÀÇ Àü¹æÀ» Pan ¹æÇâÀ¸·Î ¹Ýº¹ÇÏ¿© °È´Â´Ù. ÀÌ ½Ã½ºÅÛÀº ÀÌ ½ÇÇè¿¡¼ 30FPSÀÇ ÇÁ·¹ÀÓ·¹ÀÌÆ®·Î ÇÕ°è 1000½ÖÀÇ ½ºÅ×·¹¿À È»óÀ» ±â·ÏÇß´Ù. ±×¸² 8Àº ½ÇÇèÀÇ ¸ð½ÀÀ» ³ªÅ¸³½´Ù.
±×¸² 8(a)¿¡´Â ÇÁ·¹ÀÓ ½ÃÄö½º ¾ÈÀÇ 3½ÖÀÇ È»óÀ» ¿¹·Î ³ªÅ¸³Â´Ù.
À§´ÜÀº ¿ÞÂÊ È»ó, ¾Æ·¡ ´ÜÀº ¿À¸¥ÂÊ È»óÀÌ´Ù. ÀÌ ½ÇÇè¿¡¼ ÃßÀû ´ë»óÀÇ ¹æÇâÀÌ ÃßÀû Áß¿¡ Å©°Ô º¯ÈÇÏ´Â °æ·Î·Î ÇÇÇèÀÚ¸¦ À̵¿½ÃÄ×´Ù. ¶ÇÇÑ ¹è°æ¿¡´Â Ư¡Á¡À» ¸¹ÀÌ °ËÃâÇÒ ¼ö ÀÖ´Â Æ÷½ºÅ͸¦ ¹èÄ¡ÇÏ¿´´Ù. ±×¸² 8(b)¿¡¼´Â °»½ÅµÈ ÅÛÇø´À» ³ªÅ¸³Â´Ù. ÀÌ ½Ã½ºÅÛ¿¡¼´Â ¿ì¼± 1ÇÁ·¹ÀÓ Â°ÀÇ Á¤¸é ¾ó±¼À» ÅÛÇø´À¸·Î µî·ÏÇϰí, ±× ´ÙÀ½ÀÇ ÇÁ·¹ÀÓ Áß¿¡¼ SIFT ¸ÅĪÀ» ÀÌ¿ëÇÏ¿© ¾ó±¼ÀÇ À§Ä¡¸¦ °ËÃâÇØ ³ª°£´Ù. 224ÇÁ·¹ÀÓ¿¡¼ ¾ó±¼ÀÇ ¹æÇâ º¯È¿¡ ÀÇÇÑ È»óÀÇ º¯È¸¦ À§ÇÏ¿© ¾ó±¼ ÅÛÇø´°úÀÇ Á¶ÇÕÀÌ ½ÇÆÐÇß´Ù.
ÀÌ ¶§ ¾ç¾È½ÃÂ÷°¡ ÀÛÀº SIFT Ư¡Á¡(±×¸² ¾ÈÀÇ ³ì»öÁ¡, ³ë¶õ»ö Å׵θ®¼±ÀÇ ¾È¿¡ µÑ·¯½ÎÀÓ)À» »õ·Î¿î ÅÛÇø´À¸·Î µî·ÏÇϰí, ÀÌÈÄÀÇ ÃßÀû¿¡ ÀÌ¿ëÇÑ´Ù. ¸¶Âù°¡Áö·Î 271, 352, 366, 386, 415, 651, 800 ÇÁ·¹ÀÓ¿¡¼µµ ÅÛÇø´°úÀÇ Á¶ÇÕ¿¡ ½ÇÆÐÇ߱⠶§¹®¿¡ ¾ç¾È½ÃÂ÷°¡ ÀÛÀº SIFT Ư¡Á¡À» »õ·Î¿î ÅÛÇø´À¸·Î¼ Ãß°¡ µî·ÏÇϰí, ÀÌÈÄÀÇ ÃßÀû¿¡ ÀÌ¿ëÇß´Ù.
¿©±â±îÁöÀÇ Æò°¡ ½ÇÇè¿¡ ÀÇÇØ ÀÌ ½Ã½ºÅÛÀÌ È¸ÀüÇÏ´Â ÃßÀû ´ë»óÀ» ¾ÈÁ¤ÀûÀ¸·Î ¹è°æ¿¡¼ ½ÃÀÛÇÒ ¼ö ÀÖ´Â °Í, ¶ÇÇÑ Àå½Ã°£¿¡ °ÉÄ£ °ß·ÚÇÑ ÃßÀûÀÌ °¡´ÉÇÔÀÌ È®ÀεǾú´Ù.
´ÙÀ½À¸·Î, Á¦¾È ½Ã½ºÅÛÀÇ 3Â÷¿ø ÃßÀû ¼º´ÉÀÇ Æò°¡ ½ÇÇèÀ» Çß´Ù. ±×¸² 9´Â ÀÌ ½Ã½ºÅÛ¿¡¼ÀÇ ÁÂÇ¥°èÀÌ´Ù.
Á¦¾È ½Ã½ºÅÛ¿¡ ´ëÇÏ¿© zÃà »ó¿¡ ¹«ÇÑ¿øÀÇ ½ÃÇ¥¸¦ ÁÖ½ÃÇÏ´Â Ä«¸Þ¶óÀÇ ¹æÇâÀ» Ä«¸Þ¶óÀÇ Ãʱâ À§Ä¡·Î Çϰí, °ø°£»óÀÇ Á¡ TÀÇ ÁÂÇ¥¸¦ (XT, YT, ZT), Ä«¸Þ¶ó °£ÀÇ ±â¼± °Å¸®¸¦ l·Î ÇÑ´Ù. ÁÂÇ¥ ¿øÁ¡Àº Á¿ìÀÇ Ä«¸Þ¶ó ȸÀü Áß½ÉÀÇ ÇÑ °¡¿îµ¥·Î Á¤Çß´Ù.
2°³ÀÇ Ä«¸Þ¶ó ȸÀü Áß½ÉÀ» ÀÌ·ç´Â Á÷¼± ¹æÇâÀ» XÃà, ½Ã½ºÅÛÀÇ ¸ñ ºÎºÐ ¸ðÅÍÀÇ È¸ÀüÃàÀ» YÃà, ½Ã½ºÅÛÀÇ ¾È±æÀÌ ¹æÇâÀ» ZÃàÀ¸·Î Á¤ÇÑ´Ù. El(Er)Àº ¿ÞÂÊ(¿À¸¥ÂÊ) Ä«¸Þ¶óÀÇ È¸Àü Ãʱâ À§Ä¡¿¡¼ Á¡ T±îÁöÀÇ Pan ¹æÇâÀÇ È¸Àü°¢ÀÌ´Ù. ¥ÈÀº Ãʱâ À§Ä¡¿¡¼ Á¡ T±îÁöÀÇ tilt ¹æÇâÀÇ È¸Àü°¢ÀÌ´Ù. ¥ø´Â ¸ñÀÇ È¸Àü °¢µµÀÌ´Ù.
Á¡ TÀÇ ÁÂÇ¥´Â ÇÏ±â ½Ä (7)~(9)·Î ±¸ÇÒ ¼ö ÀÖ´Ù.

»ó±âÀÇ ½Ä(7)~(9)¿¡¼ ¾Ë ¼ö ÀÖµíÀÌ ½ÃÇ¥ÀÇ °Å¸®°¡ ¸Ö¾îÁú¼ö·Ï El°ú ErÀÇ ¿ÀÂ÷°¡ ¹ÌÄ¡´Â 3Â÷¿ø °èÃø ¿ÀÂ÷´Â Ä¿Áø´Ù. À̹ø Á¦¾È ½Ã½ºÅÛ¿¡¼ El°ú ErÀÇ ¿ÀÂ÷¿¡´Â ±â¾î °¨¼Ó±âÀÇ °¢µµ Àü´Þ ¿ÀÂ÷µµ Àֱ⠶§¹®¿¡ ¿ø°Å¸®ÀÇ 3Â÷¿ø ÃßÀû Á¤¹Ðµµ´Â ÃæºÐÇÏ´Ù°í´Â ÇÒ ¼ö ¾ø´Ù. ±×·± ±î´ßÀ¸·Î 3Â÷¿ø ÃßÀûÀÇ Á¤¹Ðµµ Æò°¡ ½ÇÇèÀº ±Ù°Å¸®(3m~5m)¸¸À¸·Î Çß´Ù(±×¸² 10).
¶ÇÇÑ, Ä«¸Þ¶óÀÇ ¿£ÄÚ´õÀÇ ºÐÇØ´ÉÀº 7.5e-4¡Æ·Î »ó´çÈ÷ °íÁ¤¹ÐµµÀ̱⠶§¹®¿¡ ¾ç¾È ÇùÁ¶ Á¦¾î ¸ðµ¨¿¡ ÀÇÇØ ¿ø°Å¸®¿¡¼µµ ¿øÈ°ÇÑ ÃßÀûÀÌ °¡´ÉÇϸç, ÃßÀû ´ë»óÀÇ ¾ç¾È½ÃÂ÷¸¦ Àû°Ô ¾ïÁ¦ÇÒ ¼ö ÀÖµµ·Ï Á¦¾îÇÏ´Â °ÍÀÌ °¡´ÉÇÏ´Ù. ÀÌ ±â´ÉÀ» °ËÁõÇϱâ À§ÇØ ¿ø°Å¸®(¾à 70m)¿¡¼ÀÇ ÃßÀû ½ÇÇèÀ» Çß´Ù(±×¸² 11).
3Â÷¿ø ÃßÀûÀÇ Á¤¹Ðµµ Æò°¡ ½ÇÇèÀº Áö¸éÀÇ ÆòÆòÇÑ ¿¬±¸½Ç ¾È¿¡¼ ÁøÇàÇß´Ù. Ä«¸Þ¶óÀÇ Tilt ¹æÇâ ȸÀüÃàÀº Áö¸é¿¡¼ ¾à 1.23mÀÇ À§Ä¡¿¡ ¼³Ä¡µÇ¾î ÀÖ´Ù. ÇÇÇèÀÚ°¡ »çÀü¿¡ °áÁ¤ÇÑ Á÷»ç°¢Çü ·çÆ®¿¡ µû¶ó °È°í, ÀÌ ½Ã½ºÅÛ¿¡ ÀÇÇØ °èÃøÇÑ 3Â÷¿ø À§Ä¡ÀÇ ±ËÀû°ú ÇÇÇèÀÚ¿¡°Ô °È°Ô ÇÑ ±ËÀûÀ» ºñ±³Çß´Ù.
±×¸² 10Àº ÇÇÇèÀÚ¿¡°Ô °È°Ô ÇÑ ±ËÀû°ú ÀÌ ½Ã½ºÅÛ¿¡ ÀÇÇØ ÃøÁ¤µÈ ±ËÀûÀ» ³ªÅ¸³»´Â ±×·¡ÇÁÀÌ´Ù. °¡´Â ¼±Àº ÇÇÇèÀÚ¿¡°Ô °È°Ô ÇÑ ±ËÀû, ±½Àº ¼±Àº ÃøÁ¤µÈ ±ËÀûÀÌ´Ù.
ÃøÁ¤µÈ ±ËÀûÀÌ ÇÇÇèÀÚ¿¡°Ô °È°Ô ÇÑ ±ËÀû°ú ´ë·« °ãÃÄ ÀÖÀ½À» È®ÀÎÇÒ ¼ö ÀÖ´Ù. ½ÇÇè °á°ú¿¡¼ ÇÇÇèÀÚ¿¡°Ô °È°Ô ÇÑ À§Ä¡¿Í °èÃøÇÑ ÇÇÇèÀÚÀÇ À§Ä¡¿ÍÀÇ ½Ã°£ÀûÀÎ µ¿±â¸¦ ÃëÇÏ´Â °ÍÀÌ ºÒ°¡´ÉÇϱ⠶§¹®¿¡ ¼öÄ¡ Æò°¡·Î¼ ÀÌ ½Ã½ºÅÛÀÌ °èÃøÇÑ À§Ä¡¿Í ÇÇÇèÀÚ¿¡°Ô °È°Ô ÇÑ ±ËÀû°úÀÇ Á÷±³ °Å¸®ÀÇ Æò±ÕÄ¡, Ç¥ÁØÆíÂ÷, ÃÖ´ë ¿ÀÂ÷¸¦ ±¸ÇÏ¿´´Ù. Ç¥ 3¿¡ ±× °á°ú¸¦ ³ªÅ¸³½´Ù.
¿ø°Å¸®¿¡¼ÀÇ ÃßÀû ½ÇÇèÀ» Çß´Ù. ½ÇÇè Á¶°Ç°ú °á°ú¸¦ ±×¸² 11¿¡ ³ªÅ¸³½´Ù. ¿ì¼± ±×¸² 11(a)¿¡ ÀÌ ½Ã½ºÅÛ ¼³Ä¡»óȲÀÇ °³°üÀ» ³ªÅ¸³½´Ù. ÀÌ ½Ã½ºÅÛÀ» Áö¸é¿¡¼ ¾à 26mÀÇ ³ôÀÌÀÎ °Ç¹°¿¡ ¼³Ä¡Çϰí, °Ç¹°¿¡¼ ¾à 70m ¶³¾îÁø Åë·Î¸¦ ¾à 1.2m/s·Î °È´Â º¸ÇàÀÚ¸¦ ÃßÀû½ÃÄ×´Ù. °á°ú·Î ¾òÀº ¼öÆò ¹æÇâ¿¡¼ÀÇ ½ÃÇ¥ÀÇ ÁÂ¿ì ¸Á¿ø Ä«¸Þ¶ó È»ó Á߽ɿ¡¼ÀÇ ¾î±ß³²À» ±×¸² 11(b)¿¡ ±×·¡ÇÁ·Î ³ªÅ¸³»°í, Á¿ìÀÇ ¸Á¿ø Ä«¸Þ¶ó¿¡ ÀÇÇÑ ¾ç¾È½ÃÂ÷¸¦ ±×¸² 11(c)¿¡ ±×·¡ÇÁ·Î ³ªÅ¸³Â´Ù.
±× °á°ú, 400½ÖÀÇ ÃßÀû È»óÀÇ ¾ç¾È½ÃÂ÷ÀÇ Æò±ÕÄ¡´Â -1Çȼ¿, Ç¥ÁØÆíÂ÷´Â 1.08Çȼ¿ÀÌ µÇ¾ú´Ù. 400½ÖÀÇ ½ºÅ×·¹¿À È»ó Áß, ¾ç¾È½ÃÂ÷°¡ ¡¾2Çȼ¿ À̳»ÀÎ ¼ö´Â 392½ÖÀ̾ú´Ù. µû¶ó¼ À̹ø ½ÇÇè¿¡¼ Á¦¾È ½Ã½ºÅÛÀÌ ¿ø°Å¸® ÃßÀû¿¡¼ ¾ç¾È½ÃÂ÷¸¦ ¡¾2Çȼ¿ À̳»·Î ¾ïÁ¦Çϵµ·Ï Á¦¾îÇÒ ¼ö ÀÖ´Â È®·üÀº 98%À̶ó°í ÇÒ ¼ö ÀÖ´Ù. ÀÌ ½Ã½ºÅÛÀ» ÀÌ¿ëÇÑ ¿ø°Å¸® ÃßÀû ½ÇÇèÀ» ¹Ýº¹Çؼ ÇàÇÏ¿© ¾çÈ£ÇÑ ÃßÀû °á°ú¸¦ ¾òÀ» ¼ö ÀÖ¾ú´Ù.
¸ÎÀ½¸»
À̹ø ³í¹®¿¡¼´Â ¾ç¾ÈÀÌ ÀÎÁ¢ÇÏ°Ô ¹èÄ¡µÇ´Â °¨½Ã Ä«¸Þ¶ó ½Ã½ºÅÛÀ» °³¹ßÇß´Ù. ÀÌ ½Ã½ºÅÛÀÇ Æ¯Â¡À¸·Î Å©°Ô 3°¡Áö¸¦ µé ¼ö ÀÖ´Ù.
(1) Á¿ì Ä«¸Þ¶ó¸¦ ÀÎÁ¢½ÃÄÑ ¹èÄ¡ÇÏ¿© Á¦¾îÇÔÀ¸·Î½á ¾ç¾ÈÀÌ µ¿ÀÏ ½ÃÇ¥¿¡ ÁÖ½ÃÇϰí ÀÖ´Â °æ¿ì, ½ÃÇ¥¿¡ ´ëÇÑ ¾ç¾ÈÀÇ ½ÃÂ÷°¡ ÀÛ¾ÆÁö¸ç, ¾ç¾È ½ºÅ×·¹¿À È»óÀÇ ´ëÀÀÀÌ ¿ëÀÌÇØÁø´Ù. ÀÌ¿¡ µû¶ó ½ÃÇ¥ÀÇ 3Â÷¿ø °ø°£ À§Ä¡ Á¤º¸ÀÇ ÃëµæÀº °£´ÜÇØÁ³´Ù.
(2) ÃßÀû´ë»óÀÇ °Å¸®¿Í ¹è°æÀÇ °Å¸®¸¦ ±¸º°ÇÒ ¼ö Àֱ⠶§¹®¿¡ ±× °Å¸® Á¤º¸¸¦ ÀÌ¿ëÇÏ¿© ÃßÀû ´ë»óÀ» ¹è°æ°ú ³ª´ ¼ö ÀÖ¾î Á¾·¡ÀÇ °¨½Ã ½Ã½ºÅÛ¿¡¼ ȸÀüÇÏ´Â ´ë»óÀ» ÃßÁ¾ÇÒ ¼ö ¾ø´Ù´Â ¹®Á¦Á¡À» ±Øº¹ÇÒ ¼ö ÀÖ¾ú´Ù.
(3) »ç¶÷ÀÇ ¾ç¾È ¿îµ¿ Á¦¾î ¸ðµ¨À» ÀÌ¿ëÇÔÀ¸·Î½á ¾ç¾ÈÀÇ °ø¿ª ¿îµ¿°ú ÆøÁÖ ¿îµ¿À» ±¸º°ÇÏ¿© Á¦¾îÇÒ ¼ö ÀÖ¾ú´Ù. Áï, Àçºü¸¥ °ø¿ª ¿îµ¿¿¡ ÀÇÇÑ ´ë»óÀÇ ÃßÀûÀ» ½ÇÇöÇÒ ¼ö ÀÖÀ¸¸ç, ÇÑÃþ ´õ ¾ÈÁ¤µÈ ÆøÁÖ ¿îµ¿µµ °¡´ÉÇØÁ³´Ù. ±× °á°ú, ªÀº ±â¼±°Å¸®¿¡ ÀÇÇÑ ¾È±æÀÌ °èÃø¿¡¼ÀÇ ¿ÀÂ÷¸¦ ´ëÆøÀûÀ¸·Î ÁÙÀÏ ¼ö ÀÖÀ½°ú µ¿½Ã¿¡ ¾ÈÁ¤ÀûÀÎ ¾ç¾È ÃßÀûÀÌ °¡´ÉÇØÁ³´Ù. ¾ÕÀ¸·Î´Â ÀÌ ½Ã½ºÅÛÀ» Áß½ÉÀ¸·Î ³×Æ®¿öÅ©ÇüÀÇ °¨½Ã Ä«¸Þ¶ó ½Ã½ºÅÛÀ¸·Î È®ÀåÇÏ¿© ±¤¿ª °¨½Ã¿¡ ÀûÇÕÇÑ °íµµÀÇ °¨½Ã ½Ã½ºÅÛÀ¸·Î ¹ßÀü½ÃÄÑ ³ª°¡°í ½Í´Ù.
<±Û : °î¿ìÀå(Gu Yuzhang), »çÅä ¸¶ÄÚÅä(Sato Makoto), ÀåÈ¿¸²(ZHANG Xiaolin) µµÄì°ø¾÷´ëÇÐ>
[¿ù°£ ½ÃÅ¥¸®Æ¼¿ùµå Åë±Ç Á¦165È£(info@boannews.com)]
<ÀúÀÛ±ÇÀÚ: º¸¾È´º½º(www.boannews.com) ¹«´ÜÀüÀç-Àç¹èÆ÷±ÝÁö>



.jpg)













































.jpg)

.jpg)




_m.jpg)


.jpg)

.jpg)

