Àι°ÀÇ 3Â÷¿ø µÎºÎ¸ðµ¨Àº ·¹ÀÎÁö ½ºÄ³³Ê·ÎºÎÅÍ È¹µæÇÑ µÎºÎÇü»ó µ¥ÀÌÅÍ¿¡ ´ëÇØ¼ ÅÛÇø´ ¸Þ½¬¸¦ º¯Çü¡¤Á¤ÇÕÇϰí ÀÛ¼ºÇÏ´Â °ÍÀÌ ÀϹÝÀûÀÌ´Ù. ±×·¯³ª Á¤ÇÕ¿¡ ÇÊ¿äÇÑ ÁöÇ¥Á¡ÀÇ ¼öµ¿¼³Á¤ÀÌ ÇÊ¿äÇϰí, ´õºÒ¾î ÈÄµÎºÎ¿Í °°ÀÌ µÎ¹ß¿¡ °¡·ÁÁ® °èÃøÀÌ ºÒ°¡´ÉÇÑ ºÎÀ§ÀÇ µ¥ÀÌÅÍ °á¼ÕÀ» ¼öÀÛ¾÷¿¡ ÀÇÇØ ¼öÁ¤ÇÏ°í º¸¿ÏÇÒ Çʿ䰡 ÀÖ´Ù. ¿©±â¿¡¼´Â ·¹ÀÎÁö ½ºÄµÀ¸·Î ¾ò¾îÁø Á¤¸é ¾ó±¼ÀÇ ·¹ÀÎÁö µ¥ÀÌÅͷκÎÅÍ Åë»ó¿¡¼´Â °èÃøÀÌ ¾î·Á¿î ÈĵκÎÀÇ Çü»óÀÌ ÅÛÇø´ ¸Þ½¬ÀÇ Çü»óÀ¸·Î º¸¿ÏµÈ Àι°µÎºÎ ¸ðµ¨ÀÇ ÀÚµ¿»ý¼º ¹æ¹ýÀ» Á¦¾ÈÇÑ´Ù. ÀÌ ¹æ¹ýÀº ½ÇÃøµÈ ¾ó±¼Çü»ó°ú ÅÛÇø´ ¸Þ½¬ÀÇ Çü»óÀÌ ½É¸®½º¿¡ Á¢¼ÓµÈ µÎºÎ¸ðµ¨À» »ý¼ºÇÒ ¼ö ÀÖ´Ù. ¶ÇÇÑ, Æò±Õ 10.4ÃÊ·Î µÎºÎ¸ðµ¨ÀÇ »ý¼ºÀÌ °¡´ÉÇϱ⠶§¹®¿¡ ´Ü½Ã°£¿¡ ¸¹Àº Àι°µÎºÎ ¸ðµ¨ÀÇ ÀÛ¼ºÀ» ÇÊ¿ä·Î ÇÏ´Â °ÔÀÓ, ¿µ»óÁ¦ÀÛ, ¿£ÅÍÅ×ÀÎ¸ÕÆ®, ¹üÁËÀÚ¸¦ °Ë»ö¡¤ÃßÀûÇÏ´Â º¸¾È ºÐ¾ß¿¡ ÀÖ¾î¼ ¸Å¿ì È¿°úÀûÀÌ´Ù.
óÀ½À¸·Î
Àι°ÀÇ CG µÎºÎ¸ðµ¨À» ´Ü½Ã°£ ÀÚµ¿ »ý¼ºÇÏ´Â °ÍÀº ÀÛ¾÷ÀÇ È¿À²È°¡ ¿ä±¸µÇ´Â ¿µÈ³ª °ÔÀÓÁ¦ÀÛÀÇ ÇöÀå, ȤÀº µÎºÎ¸ðµ¨À» ÀÌ¿ëÇÑ ¿£ÅÍÅ×ÀÎ¸ÕÆ®¿¡ ÀÖ¾î¼ Áß¿äÇÑ Å׸¶°¡ µÇ°í ÀÖ´Ù.
Àι°µÎºÎ¸ðµ¨Àº (1)Á¤¸é ¹× Ãø¸é¿¡¼ ÃÔ¿µµÈ ¾ó±¼»çÁø°ú ij¸¯ÅÍÀÇ ½ºÄÉÄ¡¸¦ ±âº»À¸·Î CG Å©¸®¿¡ÀÌÅͰ¡ 3Â÷¿ø ¸ðµ¨¸µ ¼ÒÇÁÆ®¸¦ ÀÌ¿ëÇÏ¿© ¼öÀÛ¾÷À¸·Î Á¦ÀÛÇÑ´Ù. (2)µÎºÎ ÁÖÀ§¸¦ °èÃø °¡´ÉÇÑ ·¹ÀÎÁö ½ºÄ³³Ê¸¦ ÀÌ¿ëÇÏ¿© ½ÇÀçÇÏ´Â Àι°ÀÇ µÎºÎÇü»óÀ» °èÃøÇϰí, ¼öÀÛ¾÷¿¡ ÀÇÇØ, °èÃøÀÌ ¾î·Á¿î ºÎÀ§ÀÇ ±¸¸ÛÀ» ¸Þ¿ö ¾ÆÁÖ ¼¼¹ÐÇÑ ³ëÀÌÁ ÆòȰÈ(øÁüÁûù)ÇÑ ÈÄ, ¹Ì¸® ÁغñÇÑ ¸Þ½¬ ¸ðµ¨À» Á¤ÇÕÇÔÀ¸·Î½á Á¦ÀÛÇÏ´Â °ÍÀÌ ÀϹÝÀûÀÌ´Ù. ±×·¯³ª µÎ °¡Áö ¸ðµÎ ¼öÀÛ¾÷¿¡ ÀÇÇÑ ½Ã°£°ú ³ë·ÂÀ» ÇÊ¿ä·Î ÇÏ´Â ¹®Á¦°¡ ÀÖ´Ù.
¿©±â¿¡¼´Â ÀÌ¿Í °°Àº ¹®Á¦¸¦ ÇØ°áÇϱâ À§ÇÑ Á¤¸é ¾ó±¼ ·¹ÀÎÁö µ¥ÀÌÅ͸¦ ÀÌ¿ëÇÑ 3Â÷¿ø µÎºÎ¸ðµ¨ ÀÚµ¿»ý¼º¹æ¹ý¿¡ ´ëÇØ¼ ¼Ò°³ÇÑ´Ù. ±×¸®°í Á¾·¡¹æ¹ý°úÀÇ ºñ±³½ÇÇèÀ» ÅëÇØ¼, ÀÌ ¹æ¹ýÀÌ °í¼ÓÀ̸ç, ¾ó±¼¡¤ºñ¾ó±¼¿µ¿ª °£ÀÇ Çü»óÀÇ Â÷ÀÌ¿¡ ´ëÇØ¼ ·Î¹ö½ºÆ®ÀÎ °ÍÀ» ³ªÅ¸³½´Ù. Á¦¾ÈÇÏ´Â ½Ã½ºÅÛÀº ¾à 10ÃÊ¿¡¼ Àι°µÎºÎ¸ðµ¨À» ÀÚµ¿ »ý¼ºÇÏ´Â °ÍÀÌ °¡´ÉÇϱ⠶§¹®¿¡, ´Ü½Ã°£¿¡ ¸¹Àº µÎºÎ¸ðµ¨ÀÇ Á¦ÀÛÀ» ÇÊ¿ä·Î ÇÏ´Â °ÔÀÓ, ¿µ»óÁ¦ÀÛÀÇ ÇöÀå ¹× ¿£ÅÍÅ×ÀÎ¸ÕÆ® ½Ã½ºÅÛ¿¡ ÀÖ¾î¼ È¿°úÀûÀÌ´Ù.
°ü·Ã¿¬±¸¿Í ¿¬±¸¸ñÀû
·¹ÀÎÁö µ¥ÀÌÅͷκÎÅÍÀÇ Àι°µÎºÎ¸ðµ¨ »ý¼º¿¡ °üÇÑ ¹æ¹ýÀº ÀÌ¹Ì ´Ù¼ö Á¦¾ÈµÇ¾î ÀÖ´Ù.1)~5) ±×·¯³ª ÀÌ·¯ÇÑ ¹æ¹ýÀº ÁöÇ¥Á¡ÀÇ ÁöÁ¤À̳ª ÆÄ¶ó¹ÌÅÍ Á¶Á¤¿¡ ÀÖ¾î À¯ÀúÀÇ ¼öÀÛ¾÷À» ÇÊ¿ä·Î ÇÏ´Â ¹®Á¦°¡ ÀÖ´Ù.
ƯÈ÷, ´Ü½Ã°£ ³»¿¡ ´ë·®ÀÇ µÎºÎ¸ðµ¨À» »ý¼ºÇÒ Çʿ䰡 Àִ ǻóij½ºÆ®5)¿Í °°Àº ¿£ÅÍÅ×ÀÎ¸ÕÆ® ½Ã½ºÅÛ¿¡¼´Â ¼öÀÛ¾÷ÀÇ °³ÀÔÀÚü°¡ Çã¿ëµÇÁö ¾Ê´Â´Ù. ¶ÇÇÑ, ¿£ÅÍÅ×ÀÎ¸ÕÆ® ½Ã½ºÅÛ¿¡ ÀÖ¾î¼ÀÇ Áß¿äÇÑ ±Ô¾àÀÇ Çϳª·Î½á ½Ã½ºÅÛÀÇ Ã¼ÇèÀÚ¿¡ ´ëÇØ¼ ºÎ´ãÀ» Á־ ¾È µÈ´Ù°í ÇÏ´Â ¹®Á¦°¡ ÀÖ´Ù.
Åë»ó, µÎºÎ¸ðµ¨À» »ý¼ºÇÒ ¶§¿¡´Â µÎºÎ ÁÖÀ§¸¦ °èÃø °¡´ÉÇÑ ½ºÄ³³Ê°¡ ÀÌ¿ëµÇÁö¸¸, ÀÌ Å¸ÀÔÀÇ ½ºÄ³³Ê´Â ´ë°³ °èÃø¿¡ ÇÊ¿äÇÑ ½Ã°£ÀÌ ±æ°í, ±× »çÀÌ °è¼ÓÇØ¼ üÇèÀÚ´Â Á¤Áö¸¦ ¿ä±¸´çÇϱ⠶§¹®¿¡ ½ºÆ®·¹½º¸¦ ¹Þ´Â °æ¿ì°¡ ÀÖ´Ù. ¶ÇÇÑ, µÎ¹ßºÎºÐÀÇ Çü»óÀ» °èÃøÇÏ´Â °ÍÀº ¾î·Á¿ö °èÃøµ¥ÀÌÅÍ¿¡´Â ±¤¹üÀ§ÇÏ°Ô °ÉÃÄÁø °á¼ÕÀÌ Á¸ÀçÇÑ´Ù. ÀÌ¿Í °°Àº °á¼ÕÀ» º¸¿ÏÇÏ°í ¿ÏÀüÇÑ ¸Þ½¬ ¸ðµ¨À» »ý¼ºÇÏ´Â ¹®Á¦´Â ÀϹÝÀûÀ¸·Î ¸Þ½¬ º¸¿ÏÀÇ ¹®Á¦·Î½á À§Ä¡ÇÑ´Ù. StollÀº Laplacian Setting¿¡ ±Ù°ÅÇÑ ¸Þ½¬ º¸¿Ï ¹æ¹ýÀ» Á¦¾ÈÇϰí ÀÖ´Ù.6)
±×·¯³ª ÇÇÆÃÇÒ ¶§¿¡ ÅÛÇø´°ú ·¹ÀÎÁö µ¥ÀÌÅÍÀÇ ½Ö¹æ¿¡¼ ¼öÀÛ¾÷À¸·Î ÁöÇ¥Á¡À» ÁöÁ¤ÇÒ Çʿ䰡 ÀÖ°í, ´õºÒ¾î 5~20ºÐ Á¤µµÀÇ Ã³¸®½Ã°£À» ÇÊ¿ä·Î ÇÏ´Â ¹®Á¦µµ ÀÖ´Ù. AllenÀº ¸Þ½¬ º¸¿Ïµµ °¡´ÉÇÑ ÅÛÇø´ ¸Þ½¬ ÇÇÆÃ ¹æ¹ýÀ» Á¦¾ÈÇÏ¿© Àü½ÅÀÇ ·¹ÀÎÁö µ¥ÀÌÅͷκÎÅÍ ±× Morphable ModelÀ» ±¸ÃàÇϰí ÀÖ´Ù.7) Á¦¾È¹æ¹ýÀº AllenÀÇ ¹æ¹ý¿¡¼ Âø¾ÈÇß´Ù.
À̹ø ¿¬±¸¿¡¼´Â ºñ±³Àû °èÃø½Ã°£ÀÌ ÂªÀº ¾ó±¼ °èÃø¿ë ·¹ÀÎÁö ½ºÄ³³Ê·Î °èÃøµÈ ·¹ÀÎÁö µ¥ÀÌÅͷκÎÅÍ, °èÃø µ¥ÀÌÅͰ¡ Á¸ÀçÇÏÁö ¾Ê´Â Èĵκοµ¿ªÀÇ Çü»óÀ» º¸¿ÏÇÏ¸é¼ Àι°ÀÇ 3Â÷¿ø µÎºÎ¸ðµ¨À» ´Ü½Ã°£ ÀÚµ¿ »ý¼ºÇÏ´Â °ÍÀ» ¸ñÀûÀ¸·Î ÇÑ´Ù. ±¸Ã¼ÀûÀ¸·Î´Â °³ÀÎÀÇ 3Â÷¿ø Çü»óÀÌ Á¸ÀçÇÏ´Â ¾ó±¼ÀÇ ¿µ¿ª(ÀÌÈÄ, ¡¸¾ó±¼¿µ¿ª¡¹À̶ó°í ºÎ¸£µµ·Ï ÇÑ´Ù)Àº °¡´ÉÇÑ ÇÑ º»ÀÎÀÇ ¾ó±¼Çü»óÀ» À¯ÁöÇϰí, ·¹ÀÎÁö ½ºÄµ¿¡ ÀÇÇØ 3Â÷¿ø Çü»óÀ» ȹµæÇÒ ¼ö ¾ø´Â Èĵκγª ¸ñ, ¾î±úµî ¾ó±¼ ÀÌ¿ÜÀÇ ¿µ¿ª(ÀÌÈÄ, ¡¸ºñ¾ó±¼¿µ¿ª¡¹À̶ó°í ºÎ¸£µµ·Ï ÇÑ´Ù)Àº »çÀü¿¡ ÁغñÇÑ ÅÛÇø´ ¸Þ½¬ÀÇ Çü»ó¿¡ ÀÇÇØ º¸¿ÏÇÔÀ¸·Î½á µÎºÎ¸ðµ¨À» »ý¼ºÇÑ´Ù. ¿©±â¿¡¼ ¹®Á¦°¡ µÇ´Â °ÍÀº »ý¼ºµÈ µÎºÎ¸ðµ¨ÀÇ ¾ó±¼¡¤ºñ¾ó±¼ ¿µ¿ªÀÇ °æ°è¿¡ ÀÖ¾î¼ ¾ÆÆ¼ÆÑÆ®°¡ ³ªÅ¸³ª´Â °ÍÀÌ´Ù.
±×·¡¼ ¿©±â¿¡¼´Â, ÀÌ ¹®Á¦¸¦ ÇØ°áÇϱâ À§ÇÑ ÃÖÀûȱ¹¼Ò ¾ÆÇɺ¯È¯¿¡ ÀÇÇÑ ¸Þ½¬ÇÇÆÃ ¹æ¹ýÀ» Á¦¾ÈÇÑ´Ù. Á¦¾È¹æ¹ýÀº AllenÀÇ ¹æ¹ý°ú ´Ù¸£¸ç, ÅÛÇø´ ¸Þ½¬ ¾ÈÀÇ ¸ðµç Á¤Á¡¿¡ ´ëÇØ¼ ±×°Í¿¡ ´ëÀÀÇÏ´Â ÁöÇ¥Á¡À» ÀÚµ¿¼³Á¤Çϱâ À§ÇØ ´ÙÁßÇØ»óµµ ¸Þ½¬¸¦ ÀÌ¿ëÇÑ ÇÇÆÃÀÇ »ó¼¼È 󸮸¦ ÇÊ¿ä·Î ÇÏÁö ¾Ê°í, ´ÜÀÏÇØ»óµµÀÇ ÅÛÇø´ ¸Þ½¬¸¸À» ÀÌ¿ëÇÏ¿© ÇÇÆÃÀ» ½Ç½ÃÇÏ´Â °ÍÀÌ °¡´ÉÇÏ´Ù. ÀÌ ¶§¹®¿¡ ÃÖÀûÈ Ã³¸®¿¡ ÇÊ¿äÇÑ ½Ã°£ÀÌ ±ØÈ÷ ª´Ù.
´õ¿íÀÌ ÅÛÇø´ ¸Þ½¬ÀÇ Á¤Á¡¸¶´Ù ½ºÄµ µ¥ÀÌÅÍ¿ÍÀÇ Á¤ÇÕÁ¤µµ¿Í ¸Þ½¬ÀÇ ¸Å²ô·¯¿òÀÇ Á¤µµ¸¦ ¼³Á¤ÇÏ´Â °ÍÀÌ °¡´ÉÇϱ⠶§¹®¿¡ ±¹¼ÒÀûÀÎ ¿µ¿ª¿¡ ÀÖ¾î¼ ¾çÀÚÀÇ Æ®·¹À̵å¿ÀÇÁ¸¦ Á¦¾îÇÏ´Â °Íµµ °¡´ÉÇÏ´Ù.
.gif)
Á¦¾È¹æ¹ýÀÇ °³¿ä
Á¦¾È¹æ¹ýÀÇ °³¿ä¸¦ ±×¸² 1¿¡ ³ªÅ¸³½´Ù. ½Ã½ºÅÛÀÇ ÀÔ·ÂÀº, ·¹ÀÎÁö µ¥ÀÌÅÍÀÎ Á¤¸é ¾ó±¼ ÅØ½ºÃ³(a), ÅØ½ºÃ³¿Í Çȼ¿´ÜÀ§¿¡¼ÀÇ ´ëÀÀÀÌ µÇ¾î ÀÖ´Â 3Â÷¿ø¾ó±¼Çü»ó(b), ÅÛÇø´¸Þ½¬(c)ÀÌ´Ù. ¶ÇÇÑ, Àüó¸®·Î½á ¾ó±¼ Ư¡Á¡¿¡ ´ëÀÀÇÏ´Â ÅÛÇø´ ¸Þ½¬ »óÀÇ Á¤Á¡À» ¼±ÅÃÇϰí, ¾çÀÚ¸¦ ´ëÀÀ½ÃÄÑµÑ Çʿ䰡 ÀÖ´Ù.
µÎºÎ¸ðµ¨ »ý¼ºÀÇ È帧Àº ¾Æ·¡¿Í °°´Ù. ¿ì¼±, ¾ó±¼ ÅØ½ºÃ³·ÎºÎÅÍ 149Á¡ÀÇ ¾ó±¼ Ư¡Á¡À» ÀÚµ¿ °ËÃâÇÑ´Ù(d). ´ÙÀ½À¸·Î, °ËÃâµÈ ¾ó±¼ Ư¡Á¡À» ÀÌ¿ëÇÏ¿©, º¸ÆíÇü Å©¸®±ëÀ» ÀÌ¿ëÇÏ¿© ¾ó±¼ ÅØ½ºÃ³¿¡ ÅÛÇø´ ¸Þ½¬¸¦ Á¤ÇÕÇÑ´Ù(e). ÀÌÀÇ »ó¼¼ÇÑ ³»¿ë¿¡ ´ëÇØ¼´Â ¹®Çå8)À» ÂüÁ¶Çϱ⠹ٶõ´Ù. ¾ó±¼ ÅØ½ºÃ³¿¡ ´ëÇØ¼ Á¤ÇÕµÈ ÅÛÇà ¸´¸Þ½¬ÀÇ ¾ó±¼ ¿µ¿ªÀÇ Á¤Á¡ÁÂÇ¥¸¦, ·¹ÀÎÁö µ¥ÀÌÅÍ¿¡ ÀÖ¾î¼ÀÇ ¸Þ½¬ÀÇ uv ÁÂÇ¥¿¡ ´ëÀÀÇÏ´Â 3Â÷¿ø ÁÂǥġ·Î ¹Ù²ã³õ´Â´Ù(f).
´ÙÀ½À¸·Î, ½ºÄµ¸¶´Ù ´Ù¸¥ ¾ó±¼ÀÇ ÀÚ¼¼¿Í Å©±â¸¦ ÅÛÇø´ ¸Þ½¬ÀÇ ±×°Í°ú ¸Âµµ·Ï Á¤±ÔÈÇÑ´Ù(g). ¿©±â±îÁöÀÇ Ã³¸®´Â ÀúÀÚµéÀÌ ÀÌ¹Ì Á¦¾ÈÇÑ ¹æ¹ý4)¿¡ ±Ù°ÅÇÏ¿© ½Ç½ÃµÈ´Ù. ¿©±â¿¡¼´Â ÀÌ ´Ü°è¿¡¼ »ý¼ºµÈ ¸Þ½¬¸¦ ¡¸Áß°£ ¸Þ½¬¡¹¶ó°í ºÎ¸¥´Ù.
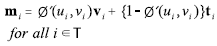
Áß°£ ¸Þ½¬¿Í ÅÛÇø´ ¸Þ½¬´Â µ¿ÀÏÇÑ Á¤Á¡ÁÂÇ¥ÀÇ ¿°ú Á¤Á¡¸µÅ©Á¤º¸¸¦ °¡Áö±â ¶§¹®¿¡ °¢°¢ Á¤Á¡Àº 1´ë1ÀÇ ´ëÀÀ°ü°è¸¦ °¡Áø´Ù. Áß°£ ¸Þ½¬¿Í ÅÛÇø´ ¸Þ½¬ÀÇ Çü»óÀÌ ±Ø´ÜÀûÀ¸·Î ´Ù¸¥ °æ¿ì¿¡´Â, ÀÌ ´Ü°è¿¡¼ ¾çÀÚÀÇ °æ°è¸¦ ÈļúÇÏ´Â ¾ó±¼Çü»ó Á߿䵵 ¹«°Ô¸¦ ÀÌ¿ëÇÏ¿© ÆòȰÈÇÑ´Ù(h). ±×¸®°í »ý¼ºµÈ Áß°£ ¸Þ½¬ÀÇ ¸ðµç Á¤Á¡ »ó¿¡ ¸¶Ä¿¸¦ ¼³Á¤ÇÑ´Ù(i). ¿©±â¿¡¼´Â ÀÌ ÁöÇ¥Á¡À» ¡¸µÎºÎ ¸¶Ä¿¡¹¶ó°í ºÎ¸¥´Ù. ÀÌ µÎºÎ ÇÇÆÃÀ» À§ÇÑ ÁöÇ¥Á¡¿¡ ´ëÇØ¼ ¿©±â¿¡¼ Á¦¾ÈÇÏ´Â ÃÖÀûȱ¹¼Ò ¾ÆÇɺ¯È¯¿¡ ±Ù°ÅÇÑ ÇÇÆÃ ¹æ¹ýÀ» ÀÌ¿ëÇÏ¿© ´Ù½Ã Çѹø ÅÛÇø´ ¸Þ½¬¸¦ ƼÇÎÇÑ´Ù(j). À̰Ϳ¡ ÀÇÇØ ºñ¾ó±¼ ¿µ¿ªÀÇ Çü»óÀÌ º¸°£(ÜÍÊà)µÈ °³ÀÎ µÎºÎ¸ðµ¨À» »ý¼ºÇÏ´Â °ÍÀÌ °¡´ÉÇÏ´Ù(k).
ÃÖÀûȱ¹¼Ò ¾ÆÇɺ¯È¯¿¡ ÀÇÇÑ ¸Þ½¬ ÇÇÆÃ
¾ó±¼¡¤ºñ¾ó±¼ ¿µ¿ªÀÇ °æ°èºÎºÐÀÇ ¾ÆÆ¼ÆÑÆ®¸¦ °æ°¨Çϰí, ÃÖÁ¾ÀûÀÎ µÎºÎ¸ðµ¨À» »ý¼ºÇϱâ À§ÇÑ ÃÖÀûȱ¹¼Ò ¾ÆÇɺ¯È¯¿¡ ÀÇÇÑ ¸Þ½¬ ÇÇÆÃ ¹æ¹ý¿¡ ´ëÇØ¼ ¼³¸íÇÑ´Ù.
¾ó±¼Çö»ó Á߿䵵 ¸ÊÀÇ ÀÛ¼º
¿ì¼± ÅÛÇø´ ¸Þ½¬¸¦ ¿øÅëÁÂÇ¥°è¿¡ Àü°³ÇÑ ÈÄ, ¸ðµ¨ÀÇ Á¤Á¡ÁÂÇ¥°¡ [0.1]ÀÇ ¹üÀ§¿¡ µé¾î°¡µµ·Ï Á¤±Ôȸ¦ ½Ç½ÃÇØ uv°ø°£¿¡ »ç¿µ(ÞÒç¯)ÇÑ´Ù. ´ÙÀ½À¸·Î °³ÀÎÀÇ 3Â÷¿ø ¾ó±¼Çü»óÀ» ºÐ¹èÇÏ°í ½ÍÀº ¾ó±¼¿µ¿ªÀÇ Á¤Á¡À», uv°ø°£¿¡ »ç¿µµÈ ÅÛÇø´ ¸Þ½¬ »óÀÇ Á¤Á¡À¸·ÎºÎÅÍ ¼±ÅÃÇÑ´Ù(±×¸²2(a)). ¼±ÅÃµÈ Á¤Á¡À» Æ÷ÇÔÇÑ Æú¸®°ï¿¡ ´ëÇØ¼, ¹é»ö(255, 255, 255)ÀÇ Ã¤»öÀ» ½Ç½ÃÇϰí, ÅØ½ºÃ³¿¡ ·»´õ¸µµÈ ¾ó±¼¿µ¿ª¿¡ ´ëÇØ ±× ¿µ¿ªÀÇ °æ°è¸¦ ¸Å²ô·´°Ô Çϱâ À§Çؼ, Ä¿´Ã »çÀÌÁî 11¡¿11, ºÐ»ê ¥ä=10ÀÇ °¡¿ì½Ã¾È ÇÊÅ͸¦ ÀÌ¿ëÇÏ¿© ÆòȰȸ¦ ½Ç½ÃÇÑ´Ù(±×¸²2(c)).
ÃÖÁ¾ÀûÀ¸·Î ¾ò¾îÁø ¸ÊÀ» ¨ª(u,v)·Î ÇßÀ» ¶§, ¨ª¡¯(u,v)=¨ª(u,v)/255·Î ÇÏ¿© Á¤±ÔÈÇÑ ¨ª(u,v)¸¦ ¡¸¾ó±¼Çü»ó Á߿䵵 ¸Ê¡¹À̶ó°í ºÎ¸¥´Ù. ¸ÊÀÇ Å©±â´Â ÅÛÇø´ ¸Þ½¬ÀÇ ÇØ»óµµ¿¡ ¸ÂÃß¾î ÀÓÀÇ·Î ¼³Á¤ °¡´ÉÇÏÁö¸¸, ¿©±â¿¡¼´Â °æÇèÀûÀ¸·Î 256¡¿256»çÀÌÁî·Î Çß´Ù.
¶ÇÇÑ, ¾ó±¼Çü»ó Á߿䵵 ¸ÊÀº, ¿ÀÇÁ¶óÀο¡¼ ÅÛÇø´ ¸Þ½¬¿¡ ´ëÇØ Çϳª¸¸ ÀÛ¼ºÇÒ Çʿ䰡 ÀÖ´Ù.
µÎºÎ ¸¶Ä¿ÀÇ ¼³Á¤
¾ÕÀå¿¡¼ ¼¼úÇÑ °Íó·³ µÎºÎ ¸¶Ä¿´Â ÀÚµ¿»ý¼ºµÈ Áß°£ ¸Þ½¬ÀÇ ¸ðµç Á¤Á¡»ó¿¡ ¼³Á¤µÈ´Ù.
´ÙÀ½ Àý¿¡¼ ¼³¸íÇÒ ÃÖÀûȱ¹¼Ò ¾ÆÇɺ¯È¯¿¡ ±Ù°ÅÇÑ ÇÇÆÃ¿¡ ÀÇÇØ ¾ó±¼¡¤ºñ¾ó±¼ ¿µ¿ª °£ÀÇ ÀÌÀ½¸Å°¡ ¾ø´Â ¸Þ½¬¸¦ »ý¼ºÇÏ´Â °ÍÀº °¡´ÉÇÏÁö¸¸, ¾ó±¼¡¤ºñ¾ó±¼ ¿µ¿ªÀÇ °æ°è¿¡ ÀÖ¾î¼ ¾çÀÚÀÇ Çü»óÀÌ ±Ø´ÜÀûÀ¸·Î ´Ù¸¥ °æ¿ì¿¡´Â ÀÌÀ½¸Å°¡ ³ªÅ¸³ª´Â °æ¿ìµµ ÀÖ´Ù. ÀÌ¿Í °°Àº °æ¿ì¿¡´Â ÇÇÆÃ¿¡ ¾Õ¼ Áß°£ ¸Þ½¬¿Í ÅÛÇø´ ¸Þ½¬ÀÇ Á¤Á¡ÁÂÇ¥¸¦ ¾Æ·¡ÀÇ ½Ä¿¡ µû¶ó ºê·£µùÇÏ¿© °æ°èºÎºÐÀ» ÆòȰÈÇØ µÑ Çʿ䰡 ÀÖ´Ù.
![]()
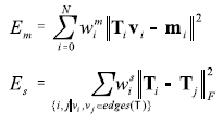
¿©±â¿¡¼ vi´Â Áß°£¸Þ½¬, ti´Â ÅÛÇø´¸Þ½¬, mi´Â µÎºÎ¸¶Ä¿ÀÇ i¹øÂ°ÀÇ Á¤Á¡À§Ä¡ÁÂÇ¥¸¦ °¢°¢ ³ªÅ¸³½´Ù.
ÃÖÀûȱ¹¼Ò ¾ÆÇɺ¯È¯
ÃÖÀûȱ¹¼Ò ¾ÆÇɺ¯È¯¿¡ ÀÇÇÑ ÇÇÆÃÀº, ´ÙÀ½¿¡¼ ¼³¸íÇÏ´Â ¿¡³ÊÁö ÇÔ¼ö¸¦ ÃÖ¼ÒÈÇÔÀ¸·Î½á ¾òÀ» ¼ö ÀÖ´Â Á¤Á¡´ÜÀ§ÀÇ ¾ÆÇÉ Çà·ÄÀ» ÀÌ¿ëÇÏ¿©, ÅÛÇø´ ¸Þ½¬¸¦ Á¤Á¡´ÜÀ§·Î ¾ÆÇÉ º¯È¯ÇÏ¿© µÎºÎ ¸¶Ä¿ÀÇ ÇÇÆÃÀ» ½Ç½ÃÇÏ´Â °ÍÀÌ´Ù.
À̹ø ¿¬±¸¿¡¼´Â ¿¡³ÊÁö ÇÔ¼ö¸¦ ÅÛÇø´ ¸Þ½¬ÀÇ Á¤Á¡ÁÂÇ¥¿Í µÎºÎ ¸¶Ä¿ÀÇ Á¤Á¡ÁÂÇ¥ »çÀÌÀÇ À¯»çµµ¸¦ °è·®ÇÏ´Â ¡¸Á¤Á¡¡¤¸¶Ä¿À¯»çµµÇס¹ Em¿Í ´ë»óÀ¸·Î ÇÏ´Â Á¤Á¡ ±Ù¹æÀÇ ¾ÆÇÉÇà·ÄÀÇ À¯»çµµ¸¦ °è·®ÇÏ´Â(±Ù¹æÀÇ ¸é »çÀÌÀÇ ¸Å²ô·¯¿òÀ» Á¦¾àÇÒ ¼ö ÀÖ´Ù) ¡¸ÆòȰÈÇס¹ EsÀÇ Áß·®°¨À¸·Î½á Á¤ÀÇÇß´Ù.
E=¥áEm+¥âEs
Em, Es´Â °¢°¢ ¾Æ·¡¿Í °°´Ù.

¿©±â¿¡¼ vi¿Í mi´Â, i¹øÂ°ÀÇ ÅÛÇø´ ¸Þ½¬ÀÇ Á¤Á¡ÁÂÇ¥¿Í ±×°Í¿¡ ´ëÀÀÇÏ´Â µÎºÎ ¸¶Ä¿ÀÇ ÁÂÇ¥ÀÌ´Ù. Ti´Â ÅÛÇø´ ¸Þ½¬ÀÇ i¹øÂ°ÀÇ Á¤Á¡¿¡ ´ëÇÑ ¾ÆÇÉÇà·ÄÀÌ´Ù. ||¡¤||F´Â, Çà·ÄÀÇ ¿ä¼ÒÀÎ 2½ÂÈÀÇ Æò¹æ±Ù(ÇÁ·ÎÆä´Ï¿ìÁî³î·ë)ÀÌ´Ù.
Wmi ¹× Wsi´Â °¢°¢ °¢ Á¤Á¡¿¡ ´ëÇÑ Á¤Á¡¡¤¸¶Ä¿ À¯»çµµ¿Í Á¤Á¡±Ù¹æÀÇ ÆòȰÈÀÇ ±â¿©¸¦ °áÁ¤ÇÏ´Â ¹«°Ô·Î, À̰Ϳ¡ ÀÇÇØ ±¹¼Ò¿µ¿ª¿¡¼ÀÇ ¸Þ½¬ Á¤Á¡ÀÇ ¸¶Ä¿¿¡ ´ëÇÑ Á¤ÇÕµµÇÕ°ú ´ë»óÀ¸·Î ÇÏ´Â Á¤Á¡±Ù¹æ ¸Þ½¬ÀÇ ¸Å²ô·¯¿òÀ» Á¶ÀýÇÏ´Â °ÍÀÌ °¡´ÉÇÏ´Ù.
w^{m}_{i}, w^{s}_{i}´Â ¾ó±¼Çü»ó Á߿䵵 ¸ÊÀ» ÀÌ¿ëÇØ¼ ¾Æ·¡ÀÇ ½Ä°ú °°ÀÌ ¼³Á¤µÈ´Ù.

¥á, ¥â´Â ¿ÀÂ÷ÇÔ¼öÀüü¿¡ ÀÖ¾î¼ÀÇ Em, EsÀÇ ±â¿©¸¦ °áÁ¤ÇÏ´Â ¹«°Ô´Ù. thrÀº ¾ó±¼Çü»ó Á߿䵵 ¸ÊÀÇ ¹«°Ô¿¡ ´ëÇÑ ¿ªÄ¡ÀÌ´Ù(³ªÁß ½ÇÇè¿¡¼´Â ¸ðµÎ thr=0.8·Î ¼³Á¤Çϰí ÀÖ´Ù). ÀÌ ¿¡³ÊÁö ÇÔ¼ö¸¦ L-BFGS-B9)¸¦ ÀÌ¿ëÇØ¼ ÃÖ¼ÒÈÇÏ¿© ¾ò¾îÁø Á¤Á¡´ÜÀ§ÀÇ ¾ÆÇÉÇà·Ä T¸¦ ÀÌ¿ëÇÏ¿© °¢ Á¤Á¡À» À̵¿ÇÑ´Ù. À̰Ϳ¡ µû¶ó ¾ó±¼¿µ¿ª ³» °³ÀÎÀÇ ¾ó±¼Çü»óÀ» À¯ÁöÇÏ¸é¼ ºñ¾ó±¼ ¿µ¿ª°úÀÇ Çü»óÀÌ ¸Å²ô·´°Ô À̾îÁø µÎºÎ¸ðµ¨À» »ý¼ºÇÏ´Â °ÍÀÌ °¡´ÉÇÏ´Ù.
ºñ±³½ÇÇè
Á¦¾ÈÇÑ µÎºÎ¸ðµ¨ ÀÚµ¿»ý¼º ½Ã½ºÅÛÀ» C++, L-BFGS-B¶óÀ̺귯¸®9)¸¦ ÀÌ¿ëÇØ¼ ½ÇÀåÇß´Ù. Á¦¾È¹æ¹ýÀÇ À¯È¿¼ºÀ» Æò°¡Çϱâ À§Çؼ, Á¾·¡ ¹æ¹ýÀ¸·Î½á AllenÀÌ Á¦¾ÈÇϰí ÀÖ´Â ÅÛÇø´ ¸Þ½¬ ÇÇÆÃ¹æ¹ý7)°úÀÇ ºñ±³½ÇÇèÀ» ½Ç½ÃÇÑ´Ù. ½ÇÇè¿¡¼´Â ¾Æ·¡¿¡ ³ªÅ¸³»´Â 4°³ÀÇ ¹æ¹ýÀ» ÀÌ¿ëÇÑ´Ù.
¨çV1: AllenÀÇ ¹æ¹ý¿¡ ÀÖ¾î¼ Àü ³í¹®7)°ú °°Àº ¿¡³ÊÁö ÇÔ¼öÀÇ ¹«°Ô¸¦ ¼³Á¤ÇÑ °Í.
¨èV2: AllenÀÇ ¹æ¹ý¿¡ ÀÖ¾î¼, ´ÙÁßÇØ»óµµ ó¸®ÀÇ ÃÖÁ¾´Ü°è¿¡¼ÀÇ ¿¡³ÊÁöÇÔ¼ö ÁßÀÇ ¹«°Ô¸¦, ¥á=10, ¥â=10, r=1·Î ÇÏ¿© ½ºÄµ µ¥ÀÌÅÍ¿Í ÅÛÇø´ ¸Þ½¬ Á¤Á¡ÀÇ Á¤ÇÕµµÇÕ°ú °¢ Á¤Á¡±Ù¹æÀÇ ¸Þ½¬ÀÇ ¸Å²ô·¯¿òÀÇ ¹«°Ô¸¦ ±ÕµîÇÏ°Ô ÇÑ °Í.
¨éV3: AllenÀÇ ¹æ¹ý¿¡ ÀÖ¾î¼, ´ÙÁßÇØ»óµµ ó¸®ÀÇ ÃÖÁ¾´Ü°è¿¡¼ÀÇ ¿¡³ÊÁöÇÔ¼ö ÁßÀÇ ¹«°Ô¸¦ ¥á=10, ¥â=75, r=1·Î ÇÏ¿©, V2º¸´Ùµµ °¢ Á¤Á¡ ±Ù¹æÀÇ ¸Þ½¬ÀÇ ¸Å²ô·¯¿òÀ» ¿ì¼±ÇÑ °Í. ¶ÇÇÑ, ÀÌ ¶§ ¹«°Ô ¥â´Â, ±×°ÍÀ» 1ºÎÅÍ 1¾¿ Áõ°¡½ÃÄÑ °¥ ¶§¿¡, ¾ó±¼¡¤ºñ¾ó±¼ ¿µ¿ª °£ÀÇ °æ°è°¡ ½Ã°¢ÀûÀ¸·Î ÆÇº°ÇÒ ¼ö ¾ø°Ô µÈ ½ÃÁ¡¿¡¼ÀÇ ¼öÄ¡·Î Çϰí ÀÖ´Ù.
¨êV4: Á¦¾È¹æ¹ý¿¡ ÀÖ¾î¼ ¿¡³ÊÁö ÇÔ¼öÀÇ ¹«°Ô¸¦ ¥á=1, ¥â=10À¸·Î ÇÏ¿©, °¢ Á¤Á¡±Ù¹æÀÇ ¸Þ½¬ÀÇ ¸Å²ô·¯¿òÀ» ¿ì¼±ÇÑ °Í. ÀÌ ¶§ÀÇ ¹«°Ô ¥â´Â, ¨é°ú °°Àº ½Ã°¢ÀûÀ¸·Î ÃÖÀûÀÎ °á°ú°¡ µÈ ½ÃÁ¡¿¡¼ÀÇ ¼öÄ¡·Î Çϰí ÀÖ´Ù.
V1, V2, V3¿¡¼´Â ±×¸² 4ó·³ 125Á¡ÀÇ ¸¶Ä¿¸¦ ÇÇÆÃÇÒ ¶§¿¡ ÀÌ¿ëÇϰí ÀÖ´Ù. ¶ÇÇÑ, ½ÇÇèÀº ¸ðµÎ Intel Core




.jpg)

















































.jpg)
_m.jpg)


.jpg)



.jpg)