·Î±×ÀÎ | ȸ¿ø°¡ÀÔ | ±â»çÁ¦º¸ | ½ºÅ©·¦ | ´º½º·¹ÅÍ ½Åû
Home > Àüü±â»ç

¿îÀüÀÚ°¡ º¸°í ÀÖ´Â ¹æÇâÀ» °ËÁöÇÑ´Ù

ÀÔ·Â : 2010-04-13 15:07
ÆäÀ̽ººÏ º¸³»±â Æ®À§ÅÍ º¸³»±â ³×À̹ö ¹êµå º¸³»±â īī¿À ½ºÅ丮 º¸³»±â ³×À̹ö ºí·Î±× º¸³»±â
ÃʼÒÇü ½ºÅ×·¹¿À Ä«¸Þ¶ó¸¦ ÅëÇÑ Â÷·®¿îÀüÀÚ ½Ã¼±°ËÃâ±â¼ú °³¹ß

À̹ø È£¿¡¼­´Â ¼³Ä¡¼ºÀÌ ³ôÀº Â÷Àç(ó³î°)¸¦ ÇâÇÑ ÃʼÒÇü ½ºÅ×·¹¿À Ä«¸Þ¶ó¸¦ ÀÌ¿ëÇØ ¿îÀüÀÚÀÇ ¾ó±¼¹æÇ⠽ü±À» °ËÃâÇϱâ À§ÇÑ ±â¼úÀ» Á¦¾ÈÇϵµ·Ï ÇÑ´Ù. Á¦¾È±â¼ú¿¡¼­´Â °¢ ¿µ»óÀ» ´Üµ¶À¸·Î ÀÌ¿ëÇÑ °æ¿ì¿¡´Â ½ÇÇöÀÌ °ï¶õÇß´ø ´Ü±â¼±Àå ½ºÅ×·¹¿À Ä«¸Þ¶ó ȯ°æÀÇ 3Â÷¿ø ÀÚ¼¼ÃßÁ¤À» ÈÖµµ¿µ»ó°ú °Å¸®¿µ»óÀÇ ¾ç¹æÇâÀ» º¸¿ÏÇÔÀ¸·Î¼­ °¡´ÉÇÏ°Ô Çß´Ù. ƯÈ÷, ¹Ð ÇüÅ ¸ðµ¨°ú ¼Ò¿ÜÇü ¸ðµ¨À̶ó°í ÇÏ´Â 2Á¾·ùÀÇ 3Â÷¿ø ¾ó±¼ ¸ðµ¨À» ÆÄƼŬ ÇÊÅÍ Æ²¿¡¼­ º´¿ëÇÔÀ¸·Î½á, °Å¸®¿µ»óÀÇ ¿ÀÂ÷°¡ Å« °æ¿ì¶óµµ ¾ÈÁ¤µÈ ÀÚ¼¼ ÃßÁ¤À» ½ÇÇöÇÒ ¼ö ÀÖ´Ù. ¿©±â¼­´Â Á¦¾È±â¼úÀÇ Æò°¡°á°ú¸¦ º¸°íÇϰí, Á¦¾È±â¼úÀÌ ±¤¹üÀ§ÀÇ °¢µµ¿¡¼­µµ °íÁ¤ÀûÀÎ ¾ó±¼¹æÇ⠽ü±°ËÃâÀ» ½ÇÇöÇϰí ÀÖ´Ù´Â °ÍÀ» ÀÔÁõÇß´Ù.


¸Ó¸®¸»

º¸´Ù ¾ÈÀüÇÑ ÀÚµ¿Â÷»ýȰ ½ÇÇöÀ» ¸ñÇ¥·Î ÀÚµ¿Â÷ ¿îÀüÀÚÀÇ °ç´«Áú »óŸ¦ °ËÁöÇÏ¿© ¿îÀüÀÚ¿¡°Ô °æ°íÇÏ´Â ½Ã½ºÅÛ °³¹ßÀÌ ÁøÇàµÇ°í ÀÖ´Ù. ¶ÇÇÑ, °ç´«Áú »óÅÂÀÇ °ËÁö¸¦ ¸ñÇ¥·Î ÇÏ´Â ±â¼úµéµµ µîÀåÇϰí ÀÖ´Ù. ´õ¿íÀÌ Â÷Àç(ó³î°) Ä«¸Þ¶ó·Î ÃÔ¿µÇÑ ¿îÀüÀÚÀÇ ¾ó±¼¿µ»óÀ» Åä´ë·Î ¿îÀüÀÚÀÇ ¾ó±¼¹æÇâÀ̳ª ½Ã¼±À» °ËÃâÇÏ´Â ±â¼úÀÌ °³¹ßµÇ°í ÀÖ´Ù. ÇÊÁøÀº ¾ó±¼ ¹æÇ⡤½Ã¼±À» ¾ÈÁ¤½ÃÄÑ °ËÃâ °¡´ÉÇÑ Â÷Àç¿ë ÃʼÒÇü ½ºÅ×·¹¿À Ä«¸Þ¶ó ÀåÄ¡¸¦ °³¹ßÇß´Ù(±×¸² 1). 

ÀÌ ÀåÄ¡´Â 6nmÀÇ ½ºÅ×·¹¿À Ä«¸Þ¶ó¿Í ±ÙÀû¿Ü¼± LEDÀÇ ÀÏü±¸Á¶¸¦ °¡Áö°í, ½ºÅ×·¹¿À Ä«¸Þ¶óÀÎ °Í°ú µ¿½Ã¿¡ ´Ü¾È(Ó¤äÑ) Ä«¸Þ¶ó¿Í µ¿µîÇÑ ³ôÀº ¼³Ä¡¼ºÀ» ½ÇÇöÇϰí ÀÖ´Ù.

½ºÅ×·¹¿À Ä«¸Þ¶ó¿¡ ÀÇÇÑ ¾ó±¼ ¹æÇ⡤½Ã¼±°ËÃâÀº ´Ü¾È Ä«¸Þ¶óÀÇ °æ¿ì¿Í ºñ±³ÇßÀ» ¶§ ¨çÁ¶¸í º¯µ¿À̳ª ¾ó±¼ºÎÀÇ °í¼Ó¿îµ¿¿¡ ´ëÇØ¼­ ¿Ï°­ÇÑ °ËÃâÀÌ °¡´É ¨è°ËÃâ °¡´ÉÇÑ °¢µµ¹üÀ§°¡ ³Ð°í °ËÃâÁ¤µµ°¡ ³ô´Ù. ¨é¾ó±¼ºÎ ¹× ¾È±¸ À§Ä¡ÀÇ 3Â÷¿ø À§Ä¡ÃëµæÀÌ °¡´ÉÇÑ ÀÌÁ¡ÀÌ ÀÖ´Ù. ÀÌ·¯ÇÑ ÀÌÁ¡Àº °ç´«Áú °ËÁöÀÇ ¾ÈÁ¤¼º Çâ»óÀ̸ç, °ç´«Áú °ËÁö ¿ÜÀÇ ÀÀ¿ë¼º Çâ»ó¿¡µµ Å©°Ô °øÇåÇÒ ¼ö ÀÖ´Ù. ±×¸®°í ÀÌ ÀåÄ¡¿Í °°Àº ±â¼±Àå(ÐñàÊíþ)ÀÌ ÂªÀº ½ºÅ×·¹¿À Ä«¸Þ¶ó¿¡ ´ëÇØ¼­ Á¾·¡ºÎÅÍ Á¦¾ÈµÇ°í ÀÖ´Â ¾ó±¼¹æÇ⠽ü±°ËÃâ ¹æ½ÄÀ» ±×´ë·Î Àû¿ëÇÏ°Ô µÇ¸é, ¾ó±¼ºÎ ÀÚ¼¼ÃßÁ¤ÀÇ ¾ÈÁ¤¼ºÀÌ ´ëÆø ÀúÇϵǴ ¹®Á¦°¡ ÀÖ´Ù.

¿©±â¼­´Â ÃʼÒÇü ½ºÅ×·¹¿À Ä«¸Þ¶ó¸¦ µÎ°í ¾ÈÁ¤µÈ ¾ó±¼ ¹æÇâ ¹× ½Ã¼±À» °ËÃâÇϱâ À§ÇÑ ±â¼úÀ» Á¦¾ÈÇÑ´Ù. ÀÌÇÏ Á¦¾È±â¼úÀÇ ³»¿ë¿¡ ´ëÇØ¼­ ¼³¸íÇϰí, ¼º´ÉÆò°¡¸¦ À§ÇØ ½Ç½ÃµÈ ½ÇÇè¿¡ ´ëÇØ¼­ »ìÆìº»´Ù.


Á¦¾È±â¼ú

ÀÌ ±â¼úÀº ±â¼±ÀåÀÌ ÂªÀº ½ºÅ×·¹¿À Ä«¸Þ¶ó·Î ÃÔ¿µÇÑ Àι°ÀÇ ¾ó±¼¹æÇâ ¹× ½Ã¼±À» °ËÃâÇÏ´Â ±â¼úÀÌ´Ù. ±×¸®°í ¿©±â¿¡ ¹®Çå ±â¼úÀ» º£À̽º·Î ÇØ¼­ °³¼±µÈ ±â¼úÀÌ ´õÇØÁø °ÍÀÌ´Ù.


ÃʼÒÇü ½ºÅ×·¹¿À¿¡ ÀÇÇÑ ¾ó±¼¹æÇ⠽ü±°ËÃâ

Á¦¾È±â¼úÀÇ ±¸¼ºÀ» ±×¸² 2¿¡ ³ªÅ¸³Â´Ù. ±â¼úÀÇ ÀÔ·Â È­»óÀº ½ºÅ×·¹¿À Ä«¸Þ¶ó·ÎºÎÅÍ ¾òÀº 2ÀåÀÇ ÈÖµµ¿µ»ó°ú °Å±â¼­ºÎÅÍ °è»êÇÑ °Å¸®¿µ»óÀÌ´Ù. °Å¸®¿µ»óÀº 2ÀåÀÇ ÈÖµµ¿µ»ó °£¿¡ ´ëÀÀÇÏ´Â È­¼Ò¸¦ ƯÁ¤ÇÏ¿© ½ÃÂ÷¿ä±¸·Î ÃëµæÇÒ ¼ö ÀÖ´Ù. ÀÌ ¶§, ½ÃÂ÷´Â ¼­ºê Çȼ¿ ·¹º§¿¡¼­ °è»êÇÏ´Â °ÍÀ¸·Î ÇÑ´Ù.

¸ÕÀú ÃʱâÈ­ºÎ¸¦ µÎ°í, °¢ À¯Àú¿¡ µû¶ó 2Á¾·ùÀÇ 3Â÷¿ø ¾ó±¼ ¸ðµ¨À» ÀÚµ¿ÀûÀ¸·Î »ý¼ºÇÑ´Ù. ÃʱâÈ­ºÎ¿¡¼­ÀÇ ¸ðµ¨ »ý¼º¿¡ ¼º°øÇÑ °æ¿ì, ÃßÀûºÎ¿¡¼­´Â 2Á¾·ùÀÇ ¸ðµ¨°ú ÀԷ¿µ»ó(ÈÖµµ¿µ»ó°ú °Å¸®¿µ»ó)À» ÆÄƼŬ ÇÊÅÍÀÇ Æ²¿¡¼­ ¸ÅĪÀ» ÇÑ´Ù.

À̰Ϳ¡ ÀÇÇØ °¢ Ç÷¹ÀÓ¿¡¼­ÀÇ ¾ó±¼ºÎ ÀÚ¼¼¸¦ ¼øÂ÷ÀûÀ¸·Î ÃßÁ¤ÇÏ°Ô µÈ´Ù. ±×ÈÄ °è»êÇÑ ¾ó±¼ºÎ ÀÚ¼¼¸¦ Åä´ë·Î ¾ó±¼ ¹æÇâ°ú ½Ã¼±À» °è»êÇÑ´Ù. ¾Æ·¡¿¡ ÃʱâÈ­ºÎ¿Í ÃßÀûºÎÀÇ Ã³¸®°úÁ¤¿¡ ´ëÇØ¼­ »ó¼¼ÇÏ°Ô ¼³¸íÇÑ´Ù.


[ÃʱâÈ­ºÎ]

ÃʱâÈ­ºÎ¿¡¼­´Â ÃßÀû½Ã, È­»ó ¸ÅĪÀ¸·Î »ç¿ëÇϱâ À§ÇØ 3Â÷¿ø ¾ó±¼ ¸ðµ¨·Î [¹Ð ÇüÅ ¸ðµ¨]°ú [¼Ò¿ÜÇü ¸ðµ¨]À̶ó°í ÇÏ´Â 2Á¾·ùÀÇ ¸ðµ¨À» »ý¼ºÇÑ´Ù.

¹Ð ÇüÅ ¸ðµ¨Àº ±×¸² 3(a)¿¡ ³ªÅ¸³½ ´Ù¼ö(100Á¡ Á¤µµ)ÀÇ ¾ó±¼ Ư¡Á¡¿¡ ´ëÇØ¼­ °¢ Ư¡Á¡°£ÀÇ 3Â÷¿ø À§Ä¡°ü°è¸¦ Ç¥ÇöÇÑ ¸ðµ¨ÀÌ¸ç °Å¸®¿µ»ó°úÀÇ ¸ÅĪ¿¡ »ç¿ëÇÑ´Ù. ±×¸®°í À̰͵éÀÇ Æ¯Â¡Á¡Àº HarrisÀÇ ÄÚ³Ê °ËÃâ¹ý µî¿¡ ÀÇÇØ °ËÃâµÈ °ÍÀÌ´Ù. ¸ÅĪ¿¡ ´Ù¼öÀÇ Á¡À» »ç¿ëÇÏ´Â °ÍÀ¸·Î ¿ëÀå(é·íþ)¼ºÀ» ³ôÀÌ´Â È¿°ú°¡ »ý±â±â ¶§¹®¿¡, ÃʼÒÇü ½ºÅ×·¹¿À Ä«¸Þ¶óó·³ °Å¸®¿µ»ó¿¡ ºñ±³Àû Å« ¿ÀÂ÷°¡ ÀÖ´Â °æ¿ì¿¡µµ Ä«¸Þ¶ó ±¤Ãà¹æÇâ¿¡ ¾ÈÁ¤ÇÑ ÀÚ¼¼ ÃßÁ¤ÀÌ °¡´ÉÇÏ°Ô µÈ´Ù.

ÇÑÆí, ¼Ò¿ÜÇü ¸ðµ¨Àº ±×¸² 3(b)¿¡ ³ªÅ¸³½ °Íó·³ ¼Ò¼ö(10Á¡ Á¤µµ)·Î ÅØ½ºÃÄÀÇ ºñ±³Àû ¸¹Àº ¾ó±¼ Ư¡Á¡Àº, °¢ Ư¡Á¡ÀÇ 3Â÷¿ø À§Ä¡°ü°è ¹× ¿Ü°üÀ» Ç¥ÇöÇÏ´Â °ÍÀ̸ç, ÈÖµµ¿µ»ó°úÀÇ ¸ÅĪ¿¡ ÀÌ¿ëÇÑ´Ù. ÀÌ·¯ÇÑ ¸ÅĪÀº Ä«¸Þ¶ó ±¤Ãà¿¡ ¼öÁ÷¹æÇâÀÇ °íÁ¤ÀûÀÎ ÃßÁ¤¿¡ Å©°Ô °øÇåÇÑ´Ù. ¾î¶°ÇÑ ¸ðµ¨µµ ¾ó±¼ºÎ¿¡ °íÁ¤µÈ ¾ó±¼ ¸ðµ¨ ÁÂÇ¥°è ³»¿¡¼­ÀÇ 3Â÷¿ø À§Ä¡·Î¼­ Ç¥ÇöµÇ°í ÀÖ´Ù. ¿©±â¼­ ¹Ð ÇüÅ ¸ðµ¨ÀÇ °¢ Ư¡Á¡ÀÇ ÁÂÇ¥¸¦  ¼Ò¿ÜÇü ¸ðµ¨ÀÇ °¢ Ư¡Á¡ÀÇ ÁÂÇ¥¸¦  À̶ó°í ÇÑ´Ù. ¶ÇÇÑ, ¼Ò¿ÜÇü ¸ðµ¨¿¡ °üÇØ¼­´Â ÃʱâÈ­ ¶§ÀÇ ÈÖµµ¿µ»óºÎÅÍ È¹µæÇÑ È­»ó ÅÛÇ÷¿ Tk¸¦ º¸À¯Çϰí ÀÖ´Ù.

±×¸®°í À¯Àú°¡ È­»ó Ç÷¹ÀÓ ³»¿¡ ³ªÅ¸³ª°Å³ª À¯Àú¸¦ ÀÒ¾î¹ö¸®´Â °Í¿¡ ÀÌ ÃʱâÈ­ºÎ¸¦ Àû¿ëÇÑ´Ù. µû¶ó¼­ ÀÓÀÇ À¯Àú¿¡ ´ëÇØ¼­´Â ¾ÈÁ¤µÈ ¸Ó¸®ºÎ ÃßÀûÀÌ °¡´ÉÇÑ °ÍÀÌ´Ù.


[ÃßÀûºÎ]

ÃʱâÈ­ºÎ¿¡¼­ ÀÛ¼ºÇÑ 3Â÷¿ø ¸ðµ¨°ú ÀÔ·Â È­»ó¿­¿¡¼­ ÆÄƼŬ ÇÊÅ͸¦ ÀÌ¿ëÇØ 3Â÷¿øÀûÀ¸·Î ¸Ó¸®ºÎ ÀÚ¼¼¸¦ ÃßÁ¤ÇÑ´Ù. ¿©±â¿¡¼­´Â ½Ã°¢ tÀÇ ¸Ó¸®ºÎ ÀÚ¼¼¸¦ 6Â÷¿ø »óÅ °ø°£ sÁßÀÇ ½ºÆåÆ®·³ À¸·Î Ç¥ÇöÇÑ´Ù. ±×¸®°í °ú ´Â °¢°¢ ¼¼°è ÁÂÇ¥°è·ÎºÎÅÍ ¾ó±¼ ¸ðµ¨ ÁÂÇ¥°èÀÇ 3Â÷¿øÀûÀÎ º´Áø°ú ȸÀüÀ» ³ªÅ¸³½´Ù. ¶ÇÇÑ, ÀÔ·Â È­»ó¿­·Î´Â ÈÖµµ¿µ»ó°ú °Å¸®¿µ»óÀ» ÀÌ¿ëÇÑ´Ù.

ÀÌ ±â¼ú¿¡¼­ ÀÌ¿ëÇÏ´Â ÆÄƼŬ ÇÊÅÍ´Â 6Â÷¿ø »óŰø°£ sÁßÀÇ È®·ü¹ÐµµÇÔ¼ö¸¦ n°³ÀÇ ÀÌ»êÀûÀÎ °¡¼³ °ú À̰Ϳ¡ ´ëÀÀÇÏ´Â È®·ü ¿¡ µû¶ó Ç¥ÇöÀ» ÇÑ´Ù. ±×¸®°í ¹Ù·Î ÀüÀÇ ½ÃÀÛ t-1¿¡ À־ÀÇ °¡¼³±º À¸·ÎºÎÅÍ ÀԷ¿µ»ó°úÀÇ ¸ÅĪÀ» Áö³ª Çö ½Ã°¢ t¿¡ °üÇÑ °¡¼³±º À» ÃßÁ¤ÇÑ´Ù.

¸ÕÀú, °¡¼³±ºÀÇ ¾ÈºÎÅÍÀÇ È®·ü ¿¡ Åä´ë¸¦ µÎ°í °¡¼³À» 1°³ ¼±ÅÃÇÑ´Ù. ±×¸®°í ¼±ÅÃÇÑ °¡¼³À» À̶ó°í ÇÑ´Ù. ±×¸®°í ½Ä(1) ÀÇ µ¿ÀÛ ¸ðµ¨¿¡ ÀÇÇØ À» À¸·Î À̵¿À» ÇÑ´Ù.




¿©±â¼­, t´Â È­»ó Ç÷¹ÀÓ°£ÀÇ ½Ã°£°£°Ý, Vt-£±´Â ¸Ó¸®ºÎ ÀÚ¼¼ÀÇ ¼ÓµµÀÌ´Ù. ¶ÇÇÑ Àº Æò±ÕÀÌ ¿µ º¤ÅÍÀÇ °¡¿ì½º ÀâÀ½À¸·Î Çϰí, ¸Ó¸®ºÎ ¿îµ¿¿¡ ÀÀÇÏ¿© ºÐ»êÀÇ Å©±â¸¦ Á¦¾îÇÏ´Â °ÍÀ¸·Î ÇÑ´Ù. ÀÌ»óÀÇ ¼±Åá¤À̵¿ÀÇ ÇÁ·Î¼¼½º¸¦ nȸ ¹Ýº¹ÇÏ´Â °Í¿¡ ÀÇÇØ N°³ÀÇ °¡¼³ À» ¾òÀ» ¼ö ÀÖ°Ô µÈ´Ù. 

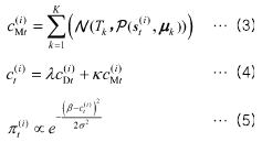
´ÙÀ½À¸·Î, °¢ °¡¼³¼ö½Ä ¿¡ ´ëÀÀÇÏ´Â È®·ü À» ½Ã°¢ t¿¡¼­ÀÇ ÀÔ·Â È­»ó¿¡ ±Ù°Å¸¦ µÎ°í °è»êÀ» ÇÑ´Ù. ÀÌ ¶§, ¹Ð ÇüÅ ¸ðµ¨¿¡ ÀÇÇØ ¸ÅĪ ½ºÄÚ¾î °ú ¼Ò¿ÜÇü ¸ðµ¨¿¡ ±Ù°ÅÇÏ¿© ¸ÅĪ ½ºÄÚ¾î À» ÀÌÇÏÀÇ ¹æ¹ý¿¡ µû¶ó ÃëµæÇÑ´Ù.

¹Ð ÇüÅ ¸ðµ¨¿¡ ÀÇÇÑ ¸ÅĪ ½ºÄÚ¾î À» °è»êÇϱâ À§Çؼ­ ¸ÕÀú  À» ³ªÅ¸³½ 3Â÷¿ø ÀÚ¼¼¿¡ ÀÀÇÏ¿© ¹Ð ÇüÅ ¸ðµ¨À» 3Â÷¿øÀûÀ¸·Î º´Áø¡¤È¸ÀüÇÑ´Ù. ±× ÈÄ ¹Ð ÇüÅ ¸ðµ¨»óÀÇ °¢ Ư¡Á¡ ¥ä1À» Åõ¿µÇÔ¼ö P¿¡ °Å¸®¿µ»ó »óÀÇ 1Á¡¿¡ Åõ¿µÇÑ´Ù. ±×¸®°í »ó±âó·³ º´Áø¡¤È¸ÀüÇÑ ¥ä1ÀÇ Ä«¸Þ¶ó ÁÂÇ¥°è Ç¥Çö ¥ä1À» °è»êÇÑ´Ù. ÀÌ ¶§ ½Ä(2)¿¡ ÀÇÇÑ ¸ÅĪ ½ºÄÚ¾î À» ÃëµæÇÒ ¼ö ÀÖ´Ù.




¿©±â¼­, °Å¸®È­»óÀÇ 1Á¡ x¿¡ °üÇØ °Å¸® µ¥ÀÌÅ͸¦ D(x) ¥ä1 Ä«¸Þ¶ó ±¤Ã༺ºÐÀ» ¥ä1 , a´Â °æÇèÀ¸·Î Á¤ÇÑ Á¤ÀÇ Á¤¼ö·Î ÇÑ´Ù. Áï, ¸ðµç Ư¡Á¡¿¡ ´ëÇØ¼­ D(x)¿Í ¥äXLÀÌ ÀÏÄ¡ÇÒ ¶§ ÃÖ°íÀÇ ¸ÅĪ ½ºÄھ ¾òÀ» ¼ö ÀÖ°Ô µÈ´Ù.

ÇÑÆí, ¼Ò¿ÜÇü ¸ðµ¨¿¡ ÀÇÇÑ ¸ÅĪ ½ºÄÚ¾î ÀÇ °è»ê¿¡¼­´Â ¹Ð ÇüÅ ¸ðµ¨ÀÏ ¶§¿Í °°°Ô Çϰí, °¡¼³ ¿¡ ÀÀÇÑ ¸ðµ¨ÀÇ º´Áø¡¤È¸Àü ÈÄ, °¢ Ư¡Á¡ ¥ìkÀ» ÈÖµµÈ­»ó »óÀÇ 1Á¡À¸·Î Åõ¿µÇÑ´Ù. ±×¸®°í Åõ¿µÁ¡ ±ÙÁ¢ÀÇ À§µµ È­»ó°ú ÃʱâÈ­ºÎ¿¡¼­ µî·ÏÇÑ ÅÛÇø´ Tk°úÀÇ Á¤±ÔÈ­ »ó°ü°ªÀ» °è»êÇÏ´Â ÀÛ¾÷ÀÇ Àü Ư¡Á¡¿¡ ½Ç½ÃÇÑ´Ù. Áï, ÅÛÇø´ Tk¿Í Åõ¿µÁ¡ x¿ÍÀÇ Á¤±ÔÈ­ »ó°üÀ» N(Tk, x)À¸·Î ÇßÀ» ¶§, ½Ä(3)¿¡ ÀÇÇØ ¸ÅĪ ½ºÄÚ¾î À» ¾òÀ» ¼ö ÀÖ´Ù.




±× ÈÄ, ¾çÂÊÀÇ ¸ÅĪ ½ºÄھ ½Ä(4)¿¡ ÅëÇÕÇÑ ÈÄ ½Ä(5)¿¡ È®·ü À» °è»êÇÑ´Ù.

ÀÌ ¶§, ¥ë, ¥êÀº ¾ç ¸ÅĪ ½ºÄÚ¾îÀÇ È¥ÇÕºñ, ¥òÀº °¡¿ì½º ºÐÆ÷ÀÇ Ç¥ÁØ ÆíÂ÷À̸ç ÇöÀç´Â °æÇèÀ¸·Î °áÁ¤À» Çϰí ÀÖ´Ù. ¶ÇÇÑ ¥âÀº ÀÇ ÃÖ´ë°ª°ú ÀÏÄ¡ÇÏ´Â Á¤¼öÀÌ´Ù. ±×¸®°í Àº Àüü °¡¼³ÀÇ ÇÕ°è°¡ 1ÀÌ µÉ ¼ö ÀÖµµ·Ï Á¤±ÔÈ­ÇÑ´Ù.


ÀÌ»óÀ¸·Î, ½Ã°¢ ÀÇ °¡¼³±º ÀÌ °áÁ¤µÈ´Ù. ½ÇÁ¦·Î´Â ¹®Çå¿¡¼­ ½Ç½ÃÇÏ´Â °Í°ú °°Àº ¸®»ùÇøµ 󸮸¦ ½ÃÇàÇÏ´Â °ÍÀ¸·Î °¡¼³¹èÄ¡ÀÇ È¿À²È­¸¦ µµ¸ðÇÒ ¼ö ÀÖ´Ù.

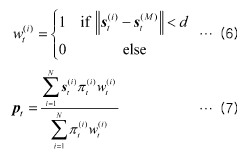
°¡¼³±ºÀÇ °áÁ¤ ÈÄ, ½Ã°¢ t¿¡ ¸Ó¸® ºÎ ÀÚ¼¼ PtÀ» ½Ä(6) ¹× ½Ä(7)À¸·Î °è»êÀ» ÇÑ´Ù. ¿©±â¼­ È®·üÀÌ ÃÖ´ë°¡ µÇ´Â °¡¼³ÀÇ Àαٿ¡ ¼ÓÇÏ´Â °¡¼³¸¸À» ÀÌ¿ëÇØ °¡Áß Æò±ÕÀ» ¾ò´Â´Ù.




¿©±â¼­ d¸¦ °³Á¤ÀÇ Á¤¼ö·Î Çϰí À» È®·üÀÌ ÃÖ´ë°¡ µÇ´Â °¡¼³À» ¼¼¿î´Ù. ¿©±â¼­ °è»êÇÑ ¸Ó¸®ºÎ ÀÚ¼¼ºÎÅÍ ¾ó±¼ ¹æÇâÀ» °áÁ¤ÇÑ´Ù. ¶ÇÇÑ ½Ã¼±¹æÇâ¿¡ ´ëÇØ¼­´Â Á¾·¡ ¹æ½Ä°ú °°°Ô È­»ó ¾È¿¡¼­ÀÇ µ¿°ø À§Ä¡¿Í ¾ó±¼ÀÇ Á¿ì´ëΏéÀ» ÀÌ¿ëÇØ »êÃâÇÑ´Ù.


°Å¸®¿µ»ó À̿뿡 ÀÇÇÑ ´Ü±â¼±Àå¿¡ÀÇ ´ëÀÀ

¿©±â¼­ÀÇ Á¦¾È±â¼ú°ú Á¾·¡±â¼ú°úÀÇ °¡Àå Å« Â÷ÀÌÁ¡Àº Á¦¾È±â¼ú¿¡¼­´Â ÀԷ¿µ»óÀ¸·Î¼­ °Å¸® ¿ë»óÀ» ÀÌ¿ëÇϰí ÀÖ´Ù´Â °ÍÀÌ´Ù. Á¾·¡±â¼ú¿¡¼­´Â °Å¸®¿µ»óÀ» ÀÌ¿ëÇÏÁö ¾ÊÀº ä ÈÖµµ¿µ»ó°úÀÇ ¸ÅΏ¸À¸·Î ±âÃʸ¦ µÖ ÀÚ¼¼ÀÇ ÃßÁ¤À» ½Ç½ÃÇß´Ù. ½ºÅ×·¹¿À Ä«¸Þ¶óÀÇ ±â¼±Àå(ÐñàÊíþ)ÀÌ ºñ±³Àû ±ä °æ¿ì¶ó¸é, °¡¼³ ÀÌ Ä«¸Þ¶ó ±¤Ãà¹æÇâ¿¡¸¸ ºÐÆ÷¸¦ Çϰí À־, Àû¾îµµ ¹Ý´ë ÃøÀÇ È­»óÀº ´Ù¸¥ È­¼Ò·Î Åõ¿µµÇ°Ô µÈ´Ù. ±×·¡¼­ °¢ °¡¼³  ¿¡ ´Ù¸¥ ¸ÅĪ ½ºÄÚ¾î °¡ ºÐÇҵȴÙ.

ÀÌ¿¡ ´ëÇÏ¿© ½ºÅ×·¹¿À Ä«¸Þ¶óÀÇ ±â¼±ÀåÀÌ ÂªÀº °æ¿ì, ±×¸² 4(a)¿¡ ³ªÅ¸³½ °Íó·³ ±¤Ãà¹æÇâ¿¡ ´Ù¼Ò º¯µ¿ÇÑ Á¤µµ¿¡¼­´Â ¾çÃøÀÇ ¿µ»ó°ú ÇÔ²² Åõ¿µ È­¼Ò´Â °ÅÀÇ º¯È­ÇÏÁö ¾ÊÀº ä ¸ÅĪ ½ºÄÚ¾î °¡ °ÅÀÇ °°Àº °ªÀÌ µÈ´Ù. ÀÌ ¶§, ±¤Ãà ¹æÇâÀº ºÒÈ®Á¤¼ºÀÌ »ý°¢º¸´Ù ³ô¾ÆÁö°Ô µÇ°í, ±×·Î ÀÎÇØ ÀüüÀûÀÎ ÃßÀû ¾ÈÁ¤¼ºÀÌ ´ëÆøÀ¸·Î ³ëÈ­µÈ´Ù.

ÇÑÆí, Á¦¾È±â¼úÀÇ °æ¿ì´Â °Å¸®¿µ»óÀ» ÀÌ¿ëÇÏ´Â °ÍÀ¸·Î ÀÌ ¹®Á¦¸¦ ÇØ°áÇÒ ¼ö ÀÖ´Ù. °Å¸®¿µ»óÀ» °è»êÇÒ ¶§, ¼­ºê Çȼ¿ ·¹º§¿¡¼­ ½ÃÂ÷°è»êÀ» ½Ç½ÃÇϱ⠶§¹®¿¡ °Å¸®¿µ»óÀÇ ±¤Ãà ¹æÇâ ÇØ»óµµ´Â ºñ±³Àû ³ô¾ÆÁö°Ô µÈ´Ù. µû¶ó¼­ ±×¸² 4(b)°ú °°ÀÌ °¡¼³°ú °Å¸®¿µ»ó°úÀÇ °Å¸®¿¡ ±Ù°Å¸¦ µÎ´Â ¸ÅĪ ½ºÄھ ä¿ëÇÏ´Â °ÍÀ¸·Î °¡¼³ ÀÌ Ä«¸Þ¶óÀÇ ±¤Ãà¹æÇâ¿¡ ºÐÆ÷ÇÒ ¶§ ¹Ð ÇüÅ ¸ðµ¨°úÀÇ ¸ÅĪ ½ºÄÚ¾î °¡ °¢°¢ÀÇ °¡¼³´ë·Î ´Ù¸¥ °ªÀ» ÃëÇÏ°Ô µÇ´Â °ÍÀÌ´Ù. ±×·¯¹Ç·Î ÀÚ¼¼ ÃßÁ¤½Ã ±¤Ãà¹æÇâÀÇ ºÒÈ®Á¤¼ºÀ» ÀÛ°Ô ¸ÂÀÌÇÏ´Â °ÍÀÌ °¡´ÉÇϰí, ÃßÀû ¾ÈÁ¤¼ºÀÌ Çâ»óµÈ´Ù´Â ÀÌÁ¡ÀÌ ÀÖ´Ù.

¶ÇÇÑ, Á¦¾È±â¼ú¿¡¼­´Â °Å¸®¿µ»ó°úÀÇ ¸ÅĪÀ» µÎ¾î ´Ù¼öÀÇ Á¡À» ÀÌ¿ëÇØ ¾ÈÁ¤¼ºÀÌ ÇÑÃþ ´õ ³ô¾ÆÁö´Â °ÍÀ» µµ¸ðÇϰí ÀÖ´Ù. ÀϹÝÀûÀ¸·Î ±â¼±ÀåÀÌ ÂªÀº °æ¿ì¿¡´Â °Å¸®¿µ»óÀÇ ¿ÀÂ÷ÀÇ ºÐ»êÀÌ Å©°Ô µÈ´Ù. ÀÌ ¶§, ¸ÅĪ Á¡ÀÇ ¼ö°¡ ÀûÀ¸¸é ¿ÀÂ÷ÀÇ ¿µÇâÀ» Å©°Ô ¹Þ¾ÆµéÀÌ°Ô µÇ¾î ÃßÀû¿¡ ½ÇÆÐÇϱ⠽±°Ô µÈ´Ù. ±×·¡¼­ °Å¸®¿µ»óÀÇ ¿ÀÂ÷ºÐÆ÷°¡ °¡¿ì½º»óÀÌ µÇ´Â °ÍÀ» ÁÖ¸ñÇÏ°í ¸ÅĪ Á¡ÀÇ ¼ö¸¦ ´Ã¸®±â ½±°Ô ÇÔÀ¸·Î½á ¿ÀÂ÷ÀÇ ¿µÇâÀ» ÀÛ°Ô ¹Þµµ·Ï ÇÏ´Â °ÍÀÌ´Ù.

À̰ÍÀ¸·Î, Á¦¾È¹æ½ÄÀº ±â¼±ÀåÀÇ ÂªÀº ÃʼÒÇü ½ºÅ×·¹¿À Ä«¸Þ¶ó·Î ¾ÈÁ¤µÈ ¸Ó¸®ºÎ ÀÚ¼¼ÃßÀûÀ» ½ÇÇöÇÒ ¼ö ÀÖ°Ô µÇ¾ú´Ù.


Æò°¡½ÃÇè 

¿©±â¼­ Á¦¾ÈÇÑ ¾ó±¼¹æÇ⠽ü±°ËÃâ ±â¼úÀÇ ¼º´É¿¡ ´ëÇØ¼­ 2Á¾·ùÀÇ Æò°¡½ÃÇèÀ» ½Ç½ÃÇß´Ù.


¾ó±¼¹æÇâ ÃßÀû ½ÇÆÐÀ²ÀÇ Æò°¡

À̹ø ½ÇÇè¿¡¼­´Â ¿îÀüÀÚÀÇ Á¿ì È®ÀÎ Á¶ÀÛÀ̳ª ¸»·Áµå´Â È®ÀÎ µ¿ÀÛÀ» ÃÔ¿µÇÑ 10ÃÊ Á¤µµÀÇ È­»ó ½ÃÄö½º¸¦ 32°³ ÃßÃâÇϰí, °¢°¢ÀÇ ½ÃÄö½º¿¡ ÃÔ¿µ¹æ½Ä°ú Á¾·¡¹æ½ÄÀ» Àû¿ëÇÏ¿© ¾ó±¼¹æÇâÀ» ÃßÀûÇß´Ù. ÀÌ ¶§ ½ÃÄö½º ¹æ½Ä´ë·Î ÃßÀûÀÇ ¼ººÎ(à÷Üú)¸¦ ÁÖ½ÃÇÑ ÆÇ´ÜÀ» Åä´ë·Î, °¢ ¹æ½ÄÀÇ ÃßÀû ½ÇÆÐÀ²À» °è»ê¡¤ºñ±³Çß´Ù. ±×¸®°í ÀÌ Æò°¡½ÇÇèÀÇ ÇÇÇèÀÚ´Â 8¸í, Æò°¡È­»óÀÇ ÃÔ¿µÀº ½Ç³»ÀÌ¸ç ÆÄÆ¼Å¬ ÇÊÅÍÀÇ °¡¼³ ¼ö´Â 100°³, ¹Ð ÇüÅ ¸ðµ¨ÀÇ Æ¯Â¡Á¡¼ö´Â 100°³, ¼Ò¿ÜÇü ¸ðµ¨ÀÇ Æ¯Â¡Á¡¼ö´Â 10°³¿´´Ù.

  ½ÇÇèÀÇ °á°ú, Á¾·¡ ¹æ½ÄÀÇ ÃßÀû½ÇÆÐÀ²Àº 28%¿´´ø °Í¿¡ ºñÇØ Á¦¾È¹æ½ÄÀÇ ÃßÀû ½ÇÆÐÀ²Àº 6%±îÁö ÀúÇÏÇß´Ù. À̰ÍÀ¸·Î Á¦¾È ¹æ½ÄÀÌ ÃßÀûÀÇ ¾ÈÁ¤¼ºÀ» Çâ»ó½ÃŰ´Â °Í¿¡ Å©°Ô ±â¿©Çϰí ÀÖ´Ù´Â °ÍÀ» ¾Ë ¼ö ÀÖ´Ù.


¾ó±¼¹æÇ⡤½Ã¼±°ËÃâ ¿ÀÂ÷ÀÇ Æò°¡

À̹ø Æò°¡¿¡¼­´Â, Á¦¾È ¹æ½Ä¿¡ ÀÇÇÑ ¾ó±¼¹æÇ⠽ü±°ËÃâ °á°ú¿Í ½ÇÁ¦ ¾ó±¼¹æÇâ ¹× ½Ã¼±¹æÇâ(ÀÌÇÏ Áø°ªÀ̶ó°í ºÎ¸¥´Ù)°úÀÇ ¿ÀÂ÷¿¡ ´ëÇØ¼­ Æò°¡Çß´Ù. ±×¸®°í ¾ó±¼¹æÇâÀÇ Áø°ªÀº ¸Ó¸®ºÎ¿¡ °íÁ¤µÈ ·¹ÀÌÀú ¹ß±¤±âÀÇ Æ÷ÀÎÅ͸¦ ¹Ì¸® ¼ÒÁ¤ÀÇ °¢µµ¹æÇâ¿¡ øºÎÇØµÐ ¸¶Ä¿¿¡ ¸ÂÃá µ¿ÀÛÀ¸·Î ÃëµæÇß´Ù. ¶ÇÇÑ, ½Ã¼±ÀÇ Áø°ªÀº »ó±â ¸¶Ä¿¸¦ ÁÖ½ÃÇÏ´Â °ÍÀ¸·Î ƯÁ¤ÇÒ ¼ö ÀÖ°Ô Çß´Ù. À̹ø Æò°¡½ÇÇèÀÇ ÇÇÇèÀÚ´Â 4¸í, Æò°¡È­»óÀÇ ÃÔ¿µÀº ½Ç³»À̸ç, ÆÄƼŬ ÇÊÅÍÀÇ °¡¼³¼ö´Â 1000°³, ¹Ð ÇüÅ ¸ðµ¨ÀÇ Æ¯Â¡ Á¡¼ö´Â 100°³, ¼Ò¿ÜÇü ¸ðµ¨ÀÇ Æ¯Â¡ Á¡¼ö´Â 10°³¿´´Ù.

Æò°¡°á°ú¸¦ ±×¸² 5¿¡ ³ªÅ¸³Â´Ù. ±×¸² 5(a)°¡ ¾ó±¼¹æÇâ °ËÃâÀÇ Æò°¡ °á°ú, ±×¸² 5(b)°¡ ½Ã¼±°ËÃâÀÇ Æò°¡°á°úÀÌ´Ù. °¢ ±×·¡ÇÁÀÇ È¾ÃàÀº Áø°ªÀ̸ç Á¾ÃàÀÌ Æò±Õ¿ÀÂ÷¸¦ ³ªÅ¸³½´Ù. ±×¸² 5¿¡ ³ªÅ¸³­ °Íó·³ ¾ó±¼¹æÇâ °ËÃâ°á°ú´Â Á¿ì +,- 90µµ À̳»ÀÇ ¸¹Àº ±¸°£À¸·Î Æò±Õ ¿ÀÂ÷ 5µµ ÀÌÇϸ¦ ´Þ¼ºÇß´Ù. ¶ÇÇÑ ½Ã¼±°ËÃâ °á°ú¿¡¼­µµ Á¿ì +,-30µµ À̳» Æò±Õ ¿ÀÂ÷°¡ 5µµ ÀÌÇÏ¿´´Ù. ÀÌ·± °á°ú·Î ÀÎÇØ À̹ø Á¦¾È¹æ½ÄÀº ±¤¹üÀ§ÇÑ °¢µµ·Î ¾ó±¼¹æÇ⠽ü±°ËÃâÀÌ °¡´ÉÇÏ´Ù´Â °ÍÀ» ÀÔÁõÇØ ÁÖ¾ú´Ù.

¸¶Áö¸·À¸·Î ½ÇÁ¦ ÁÖÇà Â÷·®¿¡ žÀçÇÑ ÃʼÒÇü ½ºÅ×·¹¿À Ä«¸Þ¶ó¿¡ ÀÇÇÑ ¾ó±¼¹æÇâ °ËÃâ °á°ú¸¦ ±×¸² 6¿¡ ³ªÅ¸³Â´Ù. ¶ÇÇÑ ±×¸² 6(a)¿¡ ½Ã¼±°ËÃâ °á°úµµ ±âÀÔÇß´Ù. ÀÌ·¯ÇÑ ½ÇÂ÷ÁÖÇà ȯ°æ¿¡¼­µµ Á¦¾È¹æ½ÄÀÌ À¯È¿ÇÏ´Ù´Â °ÍÀ» Áõ¸íÇÒ ¼ö ÀÖ¾ú´Ù.


¸ÎÀ½¸»

¿©±â¼­´Â ¼³Ä¡¼ºÀÌ ³ôÀº ÃʼÒÇü ½ºÅ×·¹¿À Ä«¸Þ¶ó¸¦ ÀÌ¿ëÇØ ¿îÀüÀÚÀÇ ¾ó±¼¹æÇâ°ú ½Ã¼±À» °ËÃâÇÏ´Â ¹æ½Ä¿¡ ´ëÇØ¼­ Á¦¾ÈÇß´Ù.

Á¦¾È¹æ½Ä¿¡¼­´Â ÆÄƼŬ ÇÊÅÍÀÇ Æ²¿¡ ±âÃʸ¦ µÎ°í ÈÖµµ¿µ»ó°ú °Å¸®¿µ»óÀ» º´¿ëÇÏ´Â °ÍÀ¸·Î ´Ü±â¼±ÀåÀÇ ½ºÅ×·¹¿À Ä«¸Þ¶óÀÇ ¾ÈÁ¤µÈ ¸Ó¸®ºÎ ÀÚ¼¼ ÃßÁ¤À» ½ÇÇöÇß´Ù.  ÈÄ¿¡´Â ½Ç¿ÜÀÇ ¿©·¯ °¡Áö ȯ°æ ¾Æ·¡¿¡¼­ ÃÔ¿µÇÑ ¿µÀÇ Æò°¡¸¦ ¹Ýº¹ÇÏ¿© ÀÌ ½ÄÀÇ À¯È¿¼º °ËÁõÀ» ÁøÇàÇØ ³ª°¥ ¿¹Á¤ÀÌ´Ù. 

<±Û : ÆÄ³ª¼Ò´Ð(ÁÖ) ¿ÀÄ« ÄËÁö(Oka Kenzi)¡¤Ã÷ŰÀÚ¿Í ¼ÒŸ·Î(Tukizawa Sotarou)¡¤¸¶·ç¾ß Ä˽ºÄÉ(Maruya Kensuke) / µ¿°æ´ëÇб³ »çÅä ¿äÀÌÄ¡(Satou Yoiti)>


[¿ù°£ ½ÃÅ¥¸®Æ¼¿ùµå Åë±Ç Á¦158È£(info@boannews.com)]

<ÀúÀÛ±ÇÀÚ: º¸¾È´º½º(www.boannews.com) ¹«´ÜÀüÀç-Àç¹èÆ÷±ÝÁö>

 

  •  
  • 0
  • ÆäÀ̽ººÏ º¸³»±â Æ®À§ÅÍ º¸³»±â ³×À̹ö ¹êµå º¸³»±â īī¿À ½ºÅ丮 º¸³»±â ³×À̹ö ºí·Î±× º¸³»±â

  • ¡°
  •  SNS¿¡¼­µµ º¸¾È´º½º¸¦ ¹Þ¾Æº¸¼¼¿ä!! 
  • ¡±
2025 º¸¾È½ÃÀå ¹é¼­ À§Áîµð¿£¿¡½º 2018 ³Ý¾Øµå ÆÄ¿öºñÁî ÁøÇà 2020³â1¿ù8ÀÏ ½ÃÀÛ~2021³â 1¿ù8ÀϱîÁö
¼³¹®Á¶»ç
¿ì¸®³ª¶ó Á¤º¸º¸È£ ¼öÁØ Çâ»óÀ» À§ÇØ ÀÌÀç¸í Á¤ºÎ¿¡°Ô °¡Àå ¹Ù¶ó´Â Á¡Àº ¹«¾ùÀΰ¡¿ä?
ISMS µî º¸¾È ÀÎÁõ Á¦µµ ½ÇÈ¿¼º °³¼±
AI º¸¾È, ¾çÀÚº¸¾È µî º¸¾È ±â¼ú ¿¬±¸°³¹ß Áö¿ø È®´ë
Áß¼Ò ±â¾÷ º¸¾È Áö¿ø È®´ë
±â¾÷ º¸¾È ¿¹»ê ºñÀ² Àǹ«È­
±¹°¡ Á¤º¸º¸È£ °Å¹ö³Í½º ü°è Á¤ºñ
±âŸ(´ñ±Û·Î)