À̹ø È£¿¡¼ ¼Ò°³ÇÏ´Â °ÍÀº ¿ª¿¡¼ÀÇ º¸ÇàÀÚ °ËÃ⡤ÃßÀû°ú ÀÚ¼¼ ÆÇº°, À§Ä¡ ÃßÁ¤ ¹× º¹¼öÀÇ ¿ÀºêÁ§Æ® °£ÀÇ ÀÎÅÍ·¢¼ÇÀ» Á¶ÇÕ½ÃŲ ¡®Àι°Çൿ ÆÄ¾Ç ÇÁ·¹ÀÓ¿öÅ©¡¯´Ù. ¿ªÀÇ °æ¿ì ´Ù¼öÀÇ º¸ÇàÀÚ°¡ ÅëÇàÇϰí, ¿ÀŬ·çÁ¯ÀÌ ºó¹øÇÏ°Ô ¹ß»ýÇϱ⠶§¹®¿¡ º¸ÇàÀÚÀÇ ±ËÀûÁ¤º¸³ª ÀÚ¼¼Á¤º¸ÀÇ Á¤¹Ðµµ°¡ ¶³¾îÁö´Â °¡´É¼ºÀÌ ³ô´Ù. À̹ø¿¡ ¼Ò°³ÇÏ´Â Àι°Çൿ ÆÄ¾Ç ÇÁ·¹ÀÓ¿öÅ©¿¡¼´Â º¸ÇàÀÚÀÇ °ËÃ⡤ÃßÀû¿¡ ½Ã°ø°£ MRF ¸ðµ¨À» Àû¿ëÇÏ´Â °ÍÀ¸·Î ¿ÀŬ·çÁ¯ÀÇ ¿µÇâÀ» °æ°¨½ÃÄ×À¸¸ç ¿ÀŬ·çµå µÈ º¸ÇàÀÚÀÇ ¹ß¹ØÀ» ÃßÁ¤ÇØ ±ËÀûÁ¤º¸ÀÇ Á¤¹Ðµµ¸¦ ³ô¿´´Ù. ¶ÇÇÑ, ¿ÀŬ·çÁ¯ ¾Æ·¡¿¡¼ÀÇ ÀÚ¼¼ÆÄ¾ÇÀº ´ÜÀÏ Ä«¸Þ¶ó¸¸À¸·Î´Â °ï¶õÇϱ⠶§¹®¿¡ µÎ Ä«¸Þ¶ó »çÀÌ¿¡¼ Àι° ¸ÅĪÀ» ½Ç½ÃÇØ ¿ÀŬ·çÁ¯ÀÌ ¹ß»ýÇÏÁö ¾Ê´Â Ä«¸Þ¶ó¸¦ ¼±ÅÃÇÏ´Â ¹æ¹ýÀ» »ç¿ëÇß´Ù.
°¡¹ÌÁ¶ ¼ø½ºÄÉ(KAMIJO SHUNSUKE)¦µµÄì´ëÇÐ
ÃÖ±Ù ¿ªÀ̳ª °øÇ× µîÀÇ °ø°ø±³Åë ½Ã¼³¿¡ ´ëÇÑ ¾ÈÀü¿¡ ´ëÇÑ °ü½ÉÀÌ ³ô¾ÆÁö°í ÀÖ´Ù. ƯÈ÷, ±³Åë ¼ö¼ÛÀÇ Çãºê ¿ªÇÒÀ» Áû¾îÁö´Â ¿ªÀº ÀÌ¿ëÀÚÀÇ ¾ÈÀü È®º¸³ª ¿ª °ü¸®ÀÚÀÇ º¸¾È°ü¸®°¡ Áß¿äÇϱ⠶§¹®¿¡ À̸¦ È¿À²ÀûÀ¸·Î ¿î¿µÇÏ´Â ½Ã½ºÅÛÀÌ ¿ä±¸µÇ°í ÀÖ´Ù. ¿¹¸¦ µé¸é, ¿ª °³Âû±¸¿¡ ´ëÇÑ ¹«´ÜħÀÔÀ̳ª ÀÀ±ÞȯÀÚ µî ¹ß»ý¿¡¼ ¿ªÀÇ ¾ÈÀü°ú À̿밴ÀÇ ¾È½ÉÀ» È®º¸Çϱâ À§ÇØ ºü¸¥ ¹ß°ßÀÌ ÇÊ¿äÇÏ´Ù. ÀÌ ¶§¹®¿¡ ¿ª ±¸³»¿¡´Â ´Ù¼öÀÇ Ä«¸Þ¶ó°¡ ¼³Ä¡µÅ ÀÖÀ¸¸ç, À̸¦ À°¾ÈÀ¸·Î È®ÀÎ ¼öµ¿ °¨½Ã¸¦ Çϰí ÀÖ´Ù. ÇÏÁö¸¸ °¨½Ãºñ¿ëÀÇ Àý°¨°ú È¿À²¼ºÀ» ³ôÀ̱â À§ÇØ À̹ÌÁö ¼¾¼¸¦ ÀÌ¿ëÇÑ ½Ã½ºÅÛÀÇ ÀÚµ¿È°¡ ¿ä±¸µÇ°í ÀÖ´Ù.
À̹ÌÁö ¼¾¼¿¡ ÀÇÇÑ °¨½Ã ½Ã½ºÅÛÀº ¼ö»óÇÑ Àι°À» °ËÃâÇϱâ À§ÇÑ Àι°Çൿ ÆÄ¾Ç±â¼úÀÌ ÇÊ¿äÇÏ´Ù. Àι°ÇൿÀº ¿òÁ÷ÀÓ ÆÐÅÏÀ̳ª ÀÚ¼¼Á¤º¸ µîÀ» ºÐ¼®ÇÏ´Â °ÍÀ¸·Î ÆÄ¾ÇÇÒ ¼ö ÀÖ´Ù. ¿ø·¡, ¿©·¯ °¡Áö Àι°Çൿ ÆÄ¾Ç ¹æ¹ýÀÌ ¿¬±¸¡¤°³¹ßµÇ°í ÀÖÁö¸¸, Àι°ÀÇ ÀÚ¼¼Á¤º¸³ª Àι°ÀÇ À̵¿ ±ËÀûÁ¤º¸³ª ÀǹÌÀûÀÎ À§Ä¡Á¤º¸¸¦ ³ªÅ¸³»´Â °ÍÀ» ±Ù°Å·Î Çϰí ÀÖ´Ù6).
ÀÌÁß Àι°ÀÇ ÀÚ¼¼¿¡ °üÇØ¼´Â, ½Ã°ø°£Ãà»óÀÇ Àι°ÀÇ ¿òÁ÷ÀÓ ¿¡³ÊÁö Á¤º¸¿¡ ±âÃʸ¦ µÎ´Â ¹æ¹ý2) À̳ª HMM(Hidden Markov Model)À» ÀÌ¿ëÇÑ ¹æ¹ý7), ·£´ý Àå(Random Field)ÀÇ °³³äÀ» ÀÌ¿ëÇÑ ¹æ¹ý3) µî ´Ù¼öÀÇ ¿¬±¸°¡ ÀÖÀ¸¸ç, ÀÌ·¯ÇÑ ¹æ¹ýÀº ¿òÁ÷ÀÓ Á¤º¸¸¦ »ó¼¼ÇÏ°Ô ÆÄ¾ÇÇϱâ À§ÇØ ¸¹Àº ÇнÀ µ¥ÀÌÅ͸¦ ÇÊ¿ä·Î ÇÑ´Ù. ÇнÀ¿¡ ´ëÇØ¼´Â Mo8)¿Í °°ÀÌ ÀÚ¼¼°ËÃâ ÇнÀ±â SVM(Support Vector Machine)À» ÀÌ¿ëÇÑ ¹æ¹ýÀÌ ´ëÇ¥ÀûÀ¸·Î ÀÌ ¹æ¹ýÀ» ÀÌ¿ëÇØ Nanr9) ·Î ¡®°È´Ù¡¯, ¡®´Þ¸°´Ù¡¯, ¡®³Ñ¾îÁø´Ù¡¯´Â Àι°ÀÇ ±âº»ÀûÀÎ ÇൿÀ» ÆÄ¾ÇÇϰí ÀÖ´Ù. ±×·¯³ª ÀÌ·¯ÇÑ ¿¬±¸´Â ½ÇÇèÀûÀÎ ÇൿÆÄ¾Ç¿¡ ¸Ó¹«¸£°í ÀÖ¾î ¿ª µî¿¡¼ ¿ä±¸µÇ´Â °Í°ú °°Àº ½Ç¿ëÀûÀÎ ÇൿÆÄ¾Ç¿¡ Àû¿ëÇÏÁö´Â ¸øÇÑ´Ù.
¶ÇÇÑ, À§Ä¡´Â À̹ÌÁö»óÀÇ ¿ÀºêÁ§Æ®ÀÎ ROI(Region Of Interest)¿¡¼ ÃßÃâµÈ´Ù. Spir-ito10)´Â º¸ÇàÀÚ°£ÀÇ ±ËÀûÁ¤º¸·ÎºÎÅÍ ÁøÀÔÀÌ Á¦ÇѵŠÀÖ´Â ±¸¿ªÀ¸·ÎÀÇ ÃâÀÔÀ» °ËÃâÇϰí ÀÖÀ¸¸ç, Bird1)³ª Ferrando4)´Â À§Ä¡Á¤º¸¸¦ ÀÌ¿ëÇÑ À¯·ù¹° °ËÁö¿¡ °üÇÑ ¿¬±¸¸¦ Çϰí ÀÖ´Ù. ±×·¯³ª ÀÌ·¯ÇÑ ¿¬±¸´Â ¿ÀºêÁ§Æ®°£ À̹ÌÁö »ó¿¡¼ ¼ûÀº ¿ÀŬ·çÁ¯ÀÌ °í·ÁµÇÁö ¾Ê°í ÀÖ´Ù.
ÀÌ·¯ÇÑ °¡¿îµ¥ Àι°Çൿ ÆÄ¾Ç Á¤¹Ðµµ´Â ±ËÀûÀ̳ª À§Ä¡Á¤º¸¿Í ÀÚ¼¼Á¤º¸¸¦ Á¶ÇÕ½ÃŰ´Â °ÍÀ¸·Î, Çâ»ó½Ãų ¼ö ÀÖ´Ù. À̸¦ À§ÇØ Àι°ÀÇ À̵¿±ËÀû¡¤À§Ä¡Á¤º¸¿Í ÀÚ¼¼Á¤º¸ÀÇ Á¶ÇÕ¿¡ ÀÇÇØ Àι°Çൿ ÆÄ¾ÇÀ» ÇÏ´Â ÇÁ·¹ÀÓ¿öÅ©¸¦ ±¸ÃàÇÑ´Ù. ÀÌ ÇÁ·¹ÀÓ¿öÅ©¿¡¼´Â À̹ÌÁö»óÀÇ Àι°ÀÚ¼¼ Á¤º¸¿Í À§Ä¡Á¤º¸¸¦ ÃßÃâÇϰí, Á¶ÇÕÀ¸·ÎºÎÅÍ ½Ã°è¿ÀûÀÎ ·ê º£À̽º·Î Àι°ÀÇ ÇൿÀ» ÆÄ¾ÇÇÒ ¼ö ÀÖ´Ù.
Àι°Çൿ ÆÄ¾Ç ÇÁ·¹ÀÓ¿öÅ© °³¿ä
¿©±â¼ ¸»ÇÏ´Â ÇÁ·¹ÀÓ¿öÅ©´Â ¿ªÀÇ Ç÷§Æû, °³Âû, ÄáÄÚ½º(Concourse) µî¿¡ ¼³Ä¡µÅ ÀÖ´Â °¨½Ã Ä«¸Þ¶ó·Î À̹ÌÁö ¼ÓÀÇ Àι°ÀÇ ÇൿÆÄ¾ÇÀ» ÇÏ´Â °ÍÀ» ¸ñÀûÀ¸·Î Çϰí ÀÖ´Ù. ´ë»óÀ¸·Î ÇÏ´Â Àι°ÇൿÀº ¿ª °³Âû ¹«´ÜħÀÔÀÚ, ¼¼º°Å¸², ÀÀ±Þ ȯÀÚ µîÀ¸·Î ºü¸¥ ¹ß°ßÀÌ ÇÊ¿äÇÏ´Ù. ¶ÇÇÑ, µ¿¹Ý °³Âû ¹«´ÜħÀÔÀ̳ª ½Î¿ò, À¯·ù¹° ¹æÄ¡ ÀÚ¿Í ±× ¼ÒÁöÀÚ¿Í °°Àº º¹¼öÀÇ Àι°À̳ª ¹°°ÇÀÇ »çÀÌ¿¡¼ ÀÎÅÍ·¢¼ÇÀÌ ÀÖ´Â Çൿ¿¡ ´ëÇØ¼µµ ÇÊ¿äÇÏ´Ù.
ÀÌ·¯ÇÑ ÇÁ·¹ÀÓ¿öÅ©´Â ¿ÀºêÁ§Æ® °ËÃ⡤Ʈ·¡Å·, Àι°Çൿ ÆÄ¾Ç¿¡ »ç¿ëÇÏ´Â ±ËÀûÁ¤º¸³ª ÀÚ¼¼Á¤º¸ÀÇ ÃßÃâ, µÎ Ä«¸Þ¶ó °£ÀÇ Àι° ¸ÅĪ, º¹¼ö ¿ÀºêÁ§Æ®°£ÀÇ ÀÎÅÍ·¢¼Ç Á¤º¸ ÃßÃâ¿¡¼ ±¸¼ºµÅ ÀÖ´Ù. ÇÏÁö¸¸ Àι°Çൿ ÆÄ¾Ç ÇÁ·¹ÀÓ¿öÅ©´Â È¥Àâ½Ã¿¡ ¹ß»ýÇÏ´Â ¿ÀŬ·çÁ¯¿¡ ´ëÇØ ·Î¹ö½ºÆ® ÇØ¾ß¸¸ Çϱ⿡ ÇÁ·¹ÀÓ¿öÅ©¿¡¼´Â Àι°¿µ¿ªÀÇ ºÐ¸® ¼º´É¿¡ ¶Ù¾î³ ½Ã°ø°£ MRF¸ðµ¨ÀÇ ¿ÀºêÁ§Æ® °ËÃ⡤Ʈ·¡Å·5)À» ±âÃÊ·Î Çϰí ÀÖ´Ù. ¶ÇÇÑ, ½Ã°ø°£ MRF¸ðµ¨ °ËÃâ °á°ú¿Í ¸ÂÃç, ¹ß¹Ø ÃßÁ¤À» ÀÌ¿ëÇØ¼ ¿ÀŬ·çµå µÈ Àι°ÀÇ ¿µ¿ªÀ» º¸Á¤ÇÔÀ¸·Î½á º¸ÇàÀÚÀÇ Á¤È®ÇÑ ±ËÀûÀ» ÃßÃâÇÑ´Ù. À̸¦ ÅëÇØ µÎ Ä«¸Þ¶ó°£ÀÇ Àι° ¸ÅĪÀ» ÇÏ´Â °ÍÀ¸·Î ¿ÀŬ·çµå°¡ ¹ß»ýÇßÀ» °æ¿ì, ´Ù¸¥ Ä«¸Þ¶ó¿¡¼ ÀÚ¼¼Á¤º¸ ÃëµæÀ» °¡´ÉÇÏ°Ô Çß´Ù. ÀÌ¿Í ÇÔ²² ½Ã°ø°£ MRF¸ðµ¨À» º£À̽º·Î¼ ¹ß¹Ø ÃßÁ¤ ¹æ¹ýÀ̳ª Àι° ¸ÅĪÀ» Á¶ÇÕ½ÃÅ´À¸·Î½á ¿ÀŬ·çÁ¯ÀÌ ¹ß»ýÇßÀ» °æ¿ì, º¸ÇàÀÚÀÇ Á¤È®ÇÑ ±ËÀûÁ¤º¸¸¦ ¾òÀ» ¼ö ÀÖÀ¸¸ç ½Ã°ø°£ MRF¸ðµ¨¿¡ ÀÇÇØ ¾òÀ» ¼ö ÀÖ´Â Æ®·¡Å· °á°ú¿¡¼ ½Ã°è¿ÀûÀ¸·Î ÇൿÀ» ÇØ¼®ÇÏ´Â °ÍÀÌ °¡´ÉÇØ Á³´Ù. ¶ÇÇÑ, ¿ÀºêÁ§Æ® °£ÀÇ ÀÎÅÍ·¢¼Ç Á¤º¸¸¦ ½Ã°è¿ÀûÀ¸·Î ÆÇ´ÜÇÏ´Â °ÍÀ¸·Î, À¯·ù¹° °ËÁö¿¡ ÀÖ¾î¼ÀÇ À¯·ù¹°°ú ±× ¼ÒÀ¯ÀÚ¿Í °°Àº º¹¼ö ¿ÀºêÁ§Æ® °£ÀÇ ÇൿÆÄ¾Çµµ °¡´ÉÇØÁø´Ù.
ÇÁ·¹ÀÓ¿öÅ©ÀÇ °¢ ±¸¼º ¿ä¼Ò
¿ÀºêÁ§Æ® °ËÃ⡤±ËÀûÁ¤º¸ÃßÀû
½Ã°ø°£ MRF¸ðµ¨5)Àº ½Ã°ø°£ À̹ÌÁöÀÇ ½Ã°£Ãà¹æÇâÀÇ »ó°ü°ü°è¿¡ Âø¾ÈÇØ MRF¸ðµ¨À» ½Ã°ø°£ ¸ðµ¨·Î¼ È®ÀåÇÑ °ÍÀÌ´Ù. Åë»óÀÇ °ø°£ MRF(Markov Random Field) ¸ðµ¨Àº Çȼ¿¸¶´Ù ¿µ¿ªºÐÇÒÀ» ÇÏ´Â °ÍÀÌ ¸¹´Ù. ½Ã°ø°£ MRF¸ðµ¨ÀÌ¶óµµ ¿ø¸®ÀûÀ¸·Î´Â °°Áö¸¸ À̹ÌÁö ÇÁ·¹ÀÓ¿¡¼ Â÷·® µîÀÇ ½ÇÁ¦ ¿òÁ÷ÀÓÀº ¼ö Çȼ¿¡¸î ½Ê Çȼ¿±îÁö À̵¿Çϱ⠶§¹®¿¡ Çȼ¿¸¶´Ù ¿µ¿ªºÐÇÒÀ» ÇÏ´Â °ÍÀº ¾î·Æ´Ù. ÀÌ °°Àº ÀÌÀ¯·Î ½Ã°ø°£ MRF¿¡¼´Â 8¡¿8Çȼ¿·Î Á¤ÀǵǴ ºí·ÏÀ» ´ÜÀ§·Î ¿µ¿ªºÐÇÒÀ» ÇÏ´Â °ÍÀ¸·Î ÇØ¼ À̹ÌÁö ÇÁ·¹ÀÓ °£¿¡ °¡Áö°í ÀÖ´Â ºí·Ï¸¶´ÙÀÇ ¿òÁ÷ÀÓ º¤Å͸¦ ÂüÁ¶ÇÑ ½Ã°£Ãà¹æÇâ »ó°üÀ» Á¤ÀÇÇßÀ¸¸ç È®·ü¿ÏÈ ¸ðµ¨À» Àû¿ëÇÔÀ¸·Î½á ¿ÀŬ·çÁ¯ÀÇ °æ¿ì¶óµµ À̵¿ ¹°Ã¼ÀÇ °æ°è¸¦ ÃÖÀûÀ¸·Î ±¸ÇÒ ¼ö ÀÖ´Ù.
±×·¯³ª, ½Ã°ø°£ MRF¸ðµ¨¿¡ ÀÇÇØ ¿ÀŬ·çÁ¯ÀÌ ÇØ¼ÒµÆ´Ù°í ÇØµµ ¿ÀŬ·çµå µÈ Àι°ÀÇ ÀϺκÐÀº À̹ÌÁö À§·Î ³ªÅ¸³ªÁö ¾Ê±â ¶§¹®¿¡ Àι°ÀÇ ¹ß¹Ø À§Ä¡´Â Á¤È®ÇÑ ÃßÃâÀÌ ¾î·Æ´Ù. µû¶ó¼ À̹ø ¿¬±¸¿¡¼´Â ¿ÀŬ·çµå µÇÁö ¾ÊÀº »óÅÂÀÇ Àι° ROIÀÇ »ó´ÜÀ§Ä¡¿Í ³ôÀ̸¦ ÂüÁ¶ °ªÀ¸·Î ¹Ì¸® ÇнÀÇß´Ù. ¸¸ÀÏ ¾î¶² ¿ÀºêÁ§Æ®ÀÇ ROIÀÇ ³ôÀ̰¡ ±× ÂüÁ¶ °ªº¸´Ùµµ ÀÏÁ¤·® ÀÌÇÏÀÏ °æ¿ì, ±× ¿ÀºêÁ§Æ®¿¡ ¼û°ÜÁ® ÀÖÀ» °¡´É¼ºÀÌ ³ô´Ù°í »ý°¢ÇØ, ÀÌÇÏ·Î ³ªÅ¸³¯ °Í °°Àº ¿ÀºêÁ§Æ®ÀÇ ³ôÀÌ º¸Á¤ ¾Ë°í¸®ÁòÀ» Àû¿ëÇß´Ù.
¿ÀºêÁ§Æ® ³ôÀÌ º¸Á¤ ¾Ë°í¸®Áò 
Step. 1 : ¿ÀºêÁ§Æ® ROIÀÇ »ó´ÜÀÇ À§Ä¡ ytop¿¡ ´ëÀÀÇÏ´Â ÃßÁ¤°í he¡¿0.7À» ³ôÀÌ ÂüÁ¶ ÇѰ谪 ht·Î ÇÑ´Ù.
Step. 2 : ¿ÀºêÁ§Æ® ROIÀÇ ³ôÀÌh°¡ htÀÌÇÏÀÏ °æ¿ì¿¡´Â ¿ÀŬ·çÁ¯ °¡´É¼ºÀÌ ³ô±â ¶§¹®¿¡ Step. 3À¸·Î ÀÌÇàÇÑ´Ù.
Step. 3 : ¿ÀŬ·çµå µÅÀÖ´Â ¿ÀºêÁ§Æ® ROI ³ôÀ̸¦ he·Î ÇØ¼, ÇÏ´Ü À§Ä¡¿¡ ¼öÁ¤ÇÑ´Ù.
¾Ë°í¸®Áò Á¾·á
±×¸² 1Àº ½Ã°ø°£ MRF¸ðµ¨°ú ¿ÀºêÁ§Æ®ÀÇ ³ôÀÌ º¸Á¤ ¾Ë°í¸®ÁòÀ» Á¶ÇÕ½ÃÄ×À» °æ¿ìÀÇ Æ®·¡Å· °á°úÀÇ ¿¹¸¦ Á¦½ÃÇϰí ÀÖ´Ù. ÇÇ(ù¬) ¿ÀŬ·çÁ¯ Àι°ÀÇ ³ôÀ̰¡ Á¤È®ÇÏ°Ô º¸Á¤µÅ ÀÖ´Â °ÍÀ» ¾Ë ¼ö ÀÖ´Ù. ¿ÀºêÁ§Æ®ÀÇ ÁÂÇ¥Á¤º¸(x,y)¿Í »çÀÌÁî Á¤º¸(h,w)´Â ROIÀÇ Á¤º¸¿¡¼ ½Ã°è¿ÀûÀ¸·Î »ý¼ºµÈ´Ù. ¿©±â¿¡¼ ¿ÀºêÁ§Æ®ÀÇ À§Ä¡´Â ROIÀÇ ÇÏ´Ü Áß½ÉÀÌ µÈ´Ù. ±×¸²1ÀÇ Èò ¼±Àº ¿ÀºêÁ§Æ®ÀÇ À§Ä¡±ËÀûÀ» ³ªÅ¸³»°í ÀÖ´Ù.
µÎ Ä«¸Þ¶ó °£ÀÇ Àι° ¸ÅĪ
½Ã°ø°£ MRF¸ðµ¨À» ÀÌ¿ëÇØµµ ¿ÀŬ·çµå µÈ Àι°ÀÇ ÀÚ¼¼¸¦ Æ÷ÂøÇÏ´Â °ÍÀº ¾î·Æ´Ù. ±×·¡¼ º» ÇÁ·¹ÀÓ¿öÅ©¿¡¼´Â ¿ÀŬ·çµå¿¡ ÀÇÇØ ´ÜÀÏ Ä«¸Þ¶ó·Î Àι°ÀÇ ÀÚ¼¼¸¦ ÆÄ¾ÇÇÒ ¼ö ¾øÀ» °æ¿ì¿¡ ´Ù¸¥ Ä«¸Þ¶ó·ÎºÎÅÍÀÇ Á¤º¸¸¦ »ç¿ëÇØ¼ ÀÚ¼¼ÆÇº°À» ÇÑ´Ù. ¿©±â¿¡¼´Â ÀÌ ¶§¹®¿¡ ÇÊ¿äÇÑ µÎ Ä«¸Þ¶ó°£ÀÇ Àι° ¸ÅĪ ¹æ¹ýÀ» ´Ù·é´Ù.
º¹¼ö Ä«¸Þ¶ó¸¦ ÀÌ¿ëÇßÀ» °æ¿ì Àι° ¸ÅĪ¿¡ °üÇÑ ¿ø·¡ ¿¬±¸¿¡¼´Â ½ºÅ×·¹¿À Ä«¸Þ¶ó¿Í °°ÀÌ ¾ö¹ÐÇÑ º¸Á¤À» ÇÊ¿ä·Î Çϱ⠶§¹®¿¡ ½Ã½ºÅÛÀÇ ±¸¼ºÀÌ ¾î·Á¿î ¹æ¹ýÀÌ ÁÖ·Î Á¦¾ÈµÅ ¿Ô´Ù. ±×°Í¿¡ ºñÇØ ¿¬±¸¿¡¼´Â µÎ °³ÀÇ Ä«¸Þ¶ó ÃÔ¿µ ¹üÀ§ °¡¿îµ¥ ¼·Î Áߺ¹ÇÏ´Â ºÎºÐ¿¡ ¼³Á¤µÈ 4°³ÀÇ ±âÁØÁ¡ (±×¸² 2(a))¸¸À» »ç¿ëÇÏ´Â ¹æ¹ýÀ» »ç¿ëÇß´Ù.
µÎ °³ÀÇ Ä«¸Þ¶ó´Â ±×¸² 2(a)¿Í °°ÀÌ ÃÔ¿µ¹üÀ§°¡ °ãÄ¡µµ·Ï ¼³Ä¡µÅÁ® ÀÖ´Â °ÍÀ» Àü·Î ÇÑ´Ù. Ä«¸Þ¶ó1·ÎºÎÅÍ º» ÁÂÇ¥¸¦ x-yÁÂÇ¥°è·Î ³ªÅ¸³»°í, Ä«¸Þ¶ó2·ÎºÎÅÍ º» ÁÂÇ¥´Â X-YÁÂÇ¥°è·Î ³ªÅ¸³»±â·Î ÇÑ´Ù. x-yÁÂÇ¥°è¿¡¼ X-YÁÂÇ¥°è·ÎÀÇ º¯È¯Àº
.jpg)
ÀÇ ½Ä(2)¿¡ ÀÇÇØ ÇàÇØÁø´Ù. ´Ü, °è¼ö(a_0, b_0, a_1, b_1, c_1, a_2, b_2, c_2)´Â 4°³ÀÇ ±âÁØÁ¡¿¡¼ ¾òÀ» ¼ö ÀÖ´Ù.
¿©±â¿¡¼ Ä«¸Þ¶ó1ÀÌ Æ÷ÂøÇϰí ÀÖ´Â Àι° i1ÀÇ À§Ä¡¸¦(x1, y1), Ä«¸Þ¶ó2°¡ Æ÷ÂøÇϰí ÀÖ´Â Àι° i2ÀÇ À§Ä¡¸¦ (x2, y2)·Î ÇÑ´Ù. ´Ü ÀÌ Á¡Àº ±âÁØÁ¡°ú °°ÀÌ ¹Ù´Ú ¸é À§¿¡ ÀÖ¾î, ±×¸² 2(b)¿Í °°ÀÌ Àι°À» µÑ·¯½Î´Â Å׵θ®ÀÇ Àúº¯ ÁßÁ¡À¸·Î ºñÃçÁø´Ù.
´ÙÀ½À¸·Î Àι°ÀÇ À§Ä¡¸¦ ÃßÁ¤ÇÑ´Ù. À̰ÍÀº ½Ã°ø°£ MRF¸ðµ¨¿¡ ÀÖ¾î¼ ¿µ¿ªºÐÇÒÀÌ °ÅÄ£ °Í°ú, Àι° Æ®·¡Å·ÀÇ Á¤¹Ðµµ°¡ ÇØ»óµµ¿¡ ÀÇÁ¸ÇÏ´Â °ÍÀ¸·ÎºÎÅÍ Àι°ÀÇ À§Ä¡ÃßÁ¤ Á¤¹Ðµµ¸¦ ´õ¿í Çâ»ó ½ÃŰ´Â °ÍÀ» ¸ñÀûÀ¸·Î Çϰí ÀÖ´Ù.
±×¸² 2 (b)¿Í °°ÀÌ ¿ì¼±(x1, y1)À» Áß½ÉÀ¸·Î ÇÑ ¿µ¿ª(R1)À» ¼³Á¤ÇÑ´Ù. ÀÌ ¿µ¿ª(R1)¿¡ ¼ÓÇÏ´Â Á¡À» (x1, r1)·Î ÇØ¼ À̰ÍÀ» X-YÁÂÇ¥°è¿¡ Åõ¿µÇÑ Á¡À» (X1, Y1)À̶ó ÇÑ´Ù. ±×¸®°í D2(i1, i2)¸¦ ÀÌÇÏÀÇ ½Ä (2)¿¡ µû¶ó °è»êÇÑ´Ù.
![]() |
![]() |
¶ÇÇÑ, À̸¦ µ¿ÀÏÇÏ°Ô ÇØ¼ (X2, Y2)¸¦ Áß½ÉÀ¸·Î ÇÑ ¿µ¿ª R2¿¡¼ D1(i1, i2)À» °è»êÇØ ¾òÀº D1, D2¸¦ ÀÌ¿ëÇØ EtotalÀ»

¿Í °°ÀÌ °è»êÇÑ´Ù. À̰ÍÀ» ÃÖ¼Ò·Î Çϵµ·Ï i1°ú i2ÀÇ Á¶ÇÕÀÇ ÁýÇÕÀ» Ä«¸Þ¶ó 1°ú Ä«¸Þ¶ó 2¿ÍÀÇ ÀÏÄ¡ÇÏ´Â Àι°ÀÇ Á¶ÇÕÀ¸·Î¼ ä¿ëÇÑ´Ù. ½ÇÁ¦ À̹ÌÁö¸¦ ÀÌ¿ëÇÑ Àι° ¸ÅĪ ¿¹¸¦ ±×¸² 3¿¡ ³ªÅ¸³½´Ù.
![]() |
![]() |
ÀÚ¼¼ÆÇº°
ÀÌ ÇÁ·¹ÀÓ¿öÅ©¿¡¼´Â Àι°ÀÇ ÀÚ¼¼¸¦ ÆÇº°Çϱâ À§Çؼ ½Ç·ç¿§ À̹ÌÁö¿¡ ÀÇÇÑ ÆÐÅÏÀνÄÀ» ½Ç½ÃÇÑ´Ù. ¿©±â¼ °í·ÁÇÏ´Â ÀÚ¼¼´Â Á÷¸³ÀÚ¼¼, °Å¿ïÀÚ¼¼, ¾ÉÀº ÀÚ¼¼, µå·¯´©¿î ÀÚ¼¼ÀÌ´Ù. ¶ÇÇÑ, ÀÚ¼¼ÆÇº° 󸮴 Àι°ÀÌ ¿ÀŬ·çµå µÅÀÖÁö ¾ÊÀ» °æ¿ì¿¡ ½Ç½ÃÇØ, ¿ÀŬ·çµå µÈ Àι°ÀÇ ÀÚ¼¼´Â ºÎÁ¤À¸·Î ÇÑ´Ù.
¿ø·¡ÀÇ ½Ç·ç¿§ À̹ÌÁö¿¡ ÀÇÇÑ ÆÐÅÏÀνĿ¡¼´Â »ó¼¼ÇÑ ½Ç·ç¿§ÀÇ ÆÇº°ÀÌ °¡´ÉÇÑ ¹Ý¸é, Ư¡·®ÀÌ °íÂ÷¿øÀ̱⠶§¹®¿¡ ƯÁ¤ ¼ººÐ¿¡ ³ªÅ¸³ª´Â ÀâÀ½ÀÇ ¿µÇâÀ» ¹Þ±â ½±´Ù´Â °áÁ¡ÀÌ ÀÖ´Ù. °Å±â¿¡¼ ÀÌ ¹æ¹ý¿¡¼´Â, 2Áø ½Ç·ç¿§ À̹ÌÁöÀÇ ¼¼·Î¹æÇâ°ú °¡·Î¹æÇâÀ» °¢°¢ 8ºÐÇÒ ÇÑ ÇÕ°è 16¿µ¿ªÀÇ Çȼ¿ ´ÜÀ§ÀÇ ÈÖµµ È÷½ºÅä±×·¥À» ¼ººÐÀ¸·Î Çϴ Ư¡·® º¤ÅÍ x=(x0, x1, ¡¦, x15)¸¦ ½Ç·ç¿§ Ư¡ ·®À¸·Î¼ »ç¿ëÇß´Ù. ÇÑÆí, (x0, x1, ¡¦, x7)Àº ¼öÆò¹æÇâÀÇ, (x8, x9, ¡¦, x15)´Â ¼öÁ÷¹æÇâÀÇ ÈÖµµ È÷½ºÅä±×·¥À» ³ªÅ¸³»°í ÀÖ´Ù(±×¸² 4). ±×¸² 5´Â °¢ ÀÚ¼¼ÀÇ ½Ç·ç¿§ Ư¡ ·®À» ³ªÅ¸³½´Ù. ÆÐÅÏÀνĿ¡¼´Â ¿ì¼± °¢ ÀÚ¼¼ÀÇ ½Ç·ç¿§ Ư¡ ·® ÇнÀ µ¥ÀÌÅͰ¡ ÀÛ¼ºµÅ, ±×°ÍµéÀÇ ÇнÀ µ¥ÀÌÅÍ¿ÍÀÇ Ç¥ÁØ À¯Å¬¸®µå °Å¸®°¡ °¡Àå °¡±î¿î µ¥ÀÌÅ͸¦ Å×½ºÆ® µ¥ÀÌÅÍ ÀÚ¼¼ÆÇº° °á°ú·Î ÇÑ´Ù.
¶ÇÇÑ, ´ÜÀÏ Ä«¸Þ¶ó¿¡¼´Â ¿ÀŬ·çÁ¯ÀÌ »ý°Ü¹ö¸± °æ¿ì¿¡µµ ´Ù¸¥ Ä«¸Þ¶ó°¡ Æ÷ÂøÇÑ ÀÚ¼¼Á¤º¸¸¦ ÀÌ¿ëÇØ¼ ÀÚ¼¼ÆÇº°ÀÌ °¡´ÉÇØÁö´Â °æ¿ì°¡ ÀÖ´Ù. ±×·¯ÇÑ µÎ Ä«¸Þ¶óÀÇ Á¶ÇÕ¿¡ ÀÇÇÑ ÀÚ¼¼ÆÇº°À» ±×¸² 5(b)¿¡ ³ªÅ¸³½´Ù.
¿©±â¿¡¼ ½Ç·ç¿§ À̹ÌÁö »ý¼º¹æ¹ýÀº 2°¡Áö·Î »ý°¢ÇÒ ¼ö ÀÖ´Ù. 1°³´Â ±×¸² 5(a)ÀÇ Silhouette-A¿Í °°ÀÌ °ËÀº ¿µ¿ª¿¡ ÀÇÇÑ º¸¿ÏÀ¸·Î º¸ÇàÀÚ ¿ÀºêÁ§Æ®ÀÇ ¿µ¿ªÀÌ Á¤¹æÇüÀÌ µÇµµ·Ï Á¤±ÔÈ ÇÏ´Â ¹æ¹ýÀ̸ç, Á÷¸³ÀÚ¼¼¿Í ±× ¿ÜÀÇ ÀÚ¼¼ ÆÇº°ÀÌ ¿ëÀÌÇÏ¸ç ±âŸÀÇ ÀÚ¼¼°£ÀÇ ÆÇº°¿¡¼´Â ÀÚ¼¼ÀÇ È¸Àü¿¡ ÀÇÇÑ ¿µÇâÀ» ¹Þ±â ½±´Ù. ´Ù¸¥ ÇÑ ¹æÇâÀº ±×¸² 5(a)ÀÇ Silhouette-B¿Í °°ÀÌ ½Ç·ç¿§ À̹ÌÁöÀÇ »çÁø È®´ë¿¡ ÀÇÇØ º¸ÇàÀÚ ¿ÀºêÁ§Æ®°¡ Á¤¹æ¿µ¿ªÀÌ µÇ°Ô Á¤±ÔÈ ÇÏ´Â ¹æ¹ýÀ̸ç, ÀÚ¼¼ÀÇ È¸Àü ¿µÇâÀ» ¹Þ±â ¾î·Æ´Ù. ±×·¡¼ ÀÌ ¹æ¹ý¿¡¼´Â Silhouette-B¿¡ ÀÇÇÑ ÆÐÅÏÀÎ½Ä ºÎÇϸ¦ °æ°¨Çϱâ À§Çؼ ¿ì¼± Á÷¸³ÀÚ¼¼¸¸À» Silhouette-AÀÇ ÆÐÅÏÀνÄÀ¸·Î ÆÇº°Çϰí, ±× ¿ÜÀÇ ÀÚ¼¼¿¡ °üÇØ¼´Â Silhouette-BÀÇ ÆÐÅÏÀνĿ¡ ÀÇÇØ ÆÇº°ÇÑ´Ù.
![]() |
![]() |
À§Ä¡ ÃßÁ¤

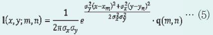
º» ÇÁ·¹ÀÓ¿öÅ©¿¡ ÀÖ¾î¼ À§Ä¡Á¤º¸¶õ ¿ÀºêÁ§Æ®ÀÇ ÁÂÇ¥Á¤º¸¿¡ ´ëÀÀÇÏ´Â ÀǹÌÀûÀÎ À§Ä¡Á¤º¸´Ù. ¿ª ±¸³»ÀÇ À§Ä¡·Î¼´Â Ç÷ξî, °³Âû±¸, °è´Ü, Ȩ, º¥Ä¡ µîÀ» µé ¼ö ÀÖ´Ù. À̹ÌÁö»óÀÇ À§Ä¡´Â ÀÔµµ(Ø£Óø)°¡ °ÅÄ£ ÀÏÁ¤ ¿µ¿ª¸¶´Ù ¼³Á¤µÅ, ±× ¿µ¿ª³»ÀÇ 8¡¿8Çȼ¿ÀÇ »çÀÌÁîÀÇ ºí·Ï ´ÜÀ§·Î Á¤ÀǵȴÙ. °¢ ºí·ÏÀÇ À§Ä¡´Â ±× Á¤ÀÇµÈ ºí·ÏÀ» ±âÁ¡À¸·Î ÇØ¼ °¡¿ì½º ºÐÆ÷¸¦ µû¸£´Â È®·üÀûÀÎ È®´ë(³ÐÀÌ)¸¦ °¡Áö´Â °ÍÀ¸·Î ÇÑ´Ù. À§Ä¡´Â È®·üÀûÀÎ È®´ë(³ÐÀÌ)¸¦ °¡Áö±â ¶§¹®¿¡ °¢ ºí·Ï¿¡¼´Â À§Ä¡ º¤ÅͰ¡ »ý¼ºµÈ´Ù. ¿¹·Î¼ Á᫐ À§Ä¡ ÁÂÇ¥°¡ (xm, yn)ÀÎ ºí·Ï 1(x, y, m, n)ÀÇ À§Ä¡ º¤ÅÍq(m, n)´Â ½Ä (5) ¹× (6)À¸·Î ±¸¼ºµÇ´Â È®·üÀûÀÎ ºÐÆ÷¸¦ °¡Áø´Ù. ÇÑÆí q(m, n)´Â À§Ä¡ (m, n)ÀÇ ºí·ÏÀÇ À§Ä¡ Á¤º¸¸¦ ³ªÅ¸³»´Â 5Â÷¿ø (°¢ Â÷¿øÀº °¢°¢ Floor, Gate, Fence, Bench, Stairs¿¡ »ó´ç)ÀÇ º¤ÅÍ´Ù.

ÇÑÆí, ¥òx, ¥òyÀº °¢°¢ x¹æÇâ, y¹æÇâÀÇ Ç¥ÁØÆíÂ÷À̸ç, °æÇèÀûÀ¸·Î ±¸ÇØÁø´Ù. ÀÌ ¶§ °¢ ºí·Ï (x, y)ÀÇ À§Ä¡ »óÅÂÈ®·ü I(x, y)´Â ½Ä (7)°ú °°ÀÌ À̹ÌÁö»óÀÇ ¸ðµç ºí·ÏÀÇ À§Ä¡ º¤ÅÍÀÇ ÃÑÇÕÀ» Á¤±ÔÈÇÑ °ÍÀ¸·Î Ç¥ÇöµÈ´Ù. 

ÃÖÁ¾ÀûÀ¸·Î´Â À̹ÌÁö»óÀÇ ¸ðµç ºí·ÏÀÇ À§Ä¡ »óÅÂÈ®·üÀÌ °è»êµÅ ±× °á°ú´Â À§Ä¡ »óÅÂÈ®·ü ¸ÊÀ¸·Î¼ º¸À¯µÈ´Ù. À̰ÍÀº °¢ ºí·ÏÀÌ È®·üÀûÀ¸·Î ¾î´À À§Ä¡¿¡ ¼ÓÇØ ÀÖÀ»Áö¸¦ ³ªÅ¸³»°í ÀÖ´Ù.
Àι°ÀÌ À§Ä¡ÇÏ´Â À§Ä¡ÀÇ °ËÃâÀº Æ®·¼¸®½º(trellis) ºÎÈ£·Î ÇàÇØÁø´Ù. ¿ÀºêÁ§Æ® À§Ä¡ÀÇ °æ·Î´Â °ú°Å¿¡ ±× ¿ÀºêÁ§Æ®°¡ Åë°úÇÑ °æ·Î»óÀÇ À§Ä¡ »óÅÂÈ®·ü L(x, y)°ú °¢ À§Ä¡°£ÀÇ »óź¯ÀÌ È®·üT·ÎºÎÅÍ ±¸ÇØÁø´Ù. ¿¹¸¦ µé¸é ¿ÀºêÁ§Æ® °æ·Î°¡ xÀÎ È®·üp(L|X)Àº ½Ã°¢ t(0¡Ât¡Ât0)ÀÇ À§Ä¡¸¦ L(t), »óÅÂÈ®·üÀ» S(t), À§Ä¡L(t)¿¡¼ L(t+1)·Î Àüȯ È®·üÀ» TL(t)L(t+1)·Î Çϸé

À̶ó°í ³ªÅ¸³¾ ¼ö ÀÖ´Ù.
À§¿Í °°ÀÌ °æ·ÎÈ®·ü°è»êÀ» °ú°Å À§Ä¡ ÃßÀÌ¿¡ °üÇÑ ¸ðµç °æ·Î¿¡ ´ëÇØ ½Ç½ÃÇØ, ÃÖ´ë°æ·Î È®·üÀ» °¡Áö´Â °æ·Î¸¦, ÃÖÁ¾ÀûÀ¸·Î ±× ¿ÀºêÁ§Æ®°¡ Åë°úÇÑ °æ·Î¶ó°í È®Á¤ÇÑ´Ù(½Ä (9)).
¶ÇÇÑ, Ç¥ 1ÀÇ ¼öÄ¡´Â °æÇèÀûÀ¸·Î ¾òÀ» ¼ö ÀÖ´Â °ÍÀÌ´Ù. ¸¸ÀÏ, ¿ª ±¸³»ÀÇ º¸ÇàÀÚ ±ËÀûÁ¤º¸°¡ ±×¸² 6(a)ÀÏ ¶§, »óź¯ÀÌ ±×¸²À» ±×¸² 6(b)°ú °°ÀÌ Á¤ÀÇÇϰí, ±× º¯ÀÌ È®·üÀ» Ç¥ 1·Î ÇßÀ» °æ¿ì, ±× º¸ÇàÀÚÀÇ À§Ä¡ ÃßÁ¤ °æ·Î´Â ±×¸² 6(c)°ú °°ÀÌ ÃßÁ¤µÈ´Ù. 
ÀÎÅÍ·¢¼Ç ÆÇÁ¤
![]() |
![]() |
¶ÇÇÑ, Àι°Çൿ ÆÄ¾Ç¿¡¼ »ç¶÷À̳ª ¹°°Ç µîÀÇ ¿ÀºêÁ§Æ®³¢¸®°¡ ¼·Î °ü°èµÅ Àֱ⠶§¹®¿¡ »ý±â´Â °Íµµ ÀÖ´Ù(ÁüÀ» ³»¹ö·Á µÎ°í °¡°Å³ª ½Î¿ò µî). ±×·¡¼ ÀÌ ¿ø°íÀÇ ¾Ë°í¸®Áò¿¡¼´Â ±ËÀûÀÌ ¼·Î ¾î¶² ÀÏÁ¤ °Å¸® À̳»¿¡ ±ÙÁ¢Çϰí ÀÖ´Â ¿ÀºêÁ§Æ® °£¿¡ ¾î¶°ÇÑ »ó°üÀÌ ÀÖ´Ù°í »ý°¢ÇØ, ±× »óÈ£±ÙÁ¢ Á¤º¸¸¦ ¹ÙÀ̳ʸ® ¸ÊÀ¸·Î¼ º¸À¯ÇÑ´Ù(±ÙÁ¢Çϰí ÀÖ´Â °æ¿ì´Â ¡®1¡¯, °°Àº ¹°Ã¼³¢¸®ÀÇ °æ¿ì¿¡´Â ¡®-1¡¯ÀÌ ³Ö¾îÁø´Ù). »óÈ£°ü°è ¸ÊÀº °ú°Å·Î °Å½½·¯ ¿Ã¶ó°¡¼ ÀÏÁ¤ ¼ö ÃàÀûµÅ, º¹¼ö ¿ÀºêÁ§Æ® °£¿¡ ÀÎÅÍ·¢¼ÇÀÌ ÀÖ´Â ÇൿÀÇ ÆÄ¾Ç¿¡ »ç¿ëÇÒ ¼ö ÀÖ´Ù.
±×¸² 7(a)Àº ÃëÇØ¼ ¾²·¯Á®ÀÖ´Â »ç¶÷À» ´Ù¸¥ »ç¶÷ÀÌ ¶°¹ÞÄ¡°í ÀÖ´Â »óŸ¦ ÀνÄÇÑ ¿¹´Ù. ¿©±â¿¡¼´Â ¹Ù´Ú¿¡ ¾²·¯Á® ÀÖ´Â °ÍÀ» °ËÃâÇÑ ÈÄ¿¡, ±× Àι°°ú ÀÎÅÍ·¢¼ÇÀ» °¡Áø ´Ù¸¥ Àι°À» ±¸Á¶Àڷμ ÀνÄÇϰí ÀÖ´Ù. ±×¸² 7(b)°ú °°ÀÌ ¿ø·¡ 1°³ÀÇ ¿ÀºêÁ§Æ®·Î¼ ÀνĵŠÀÖ´ø ¹Ù¿¡¼ ÀÛÀº ¿ÀºêÁ§Æ®°¡ ºÐ¸®µÅ Àι°ÀÌ ¶³¾îÁ³À» °æ¿ì¿¡´Â À¯·ù¹°ÀÇ °ËÁö¶ó°í ÇÏ´Â ÀνÄÀÌ ÇàÇØÁø´Ù.
Àι°Çൿ ÆÄ¾Ç ¾Ë°í¸®Áò

ÀÌ ÇÁ·¹ÀÓ¿öÅ©¿¡¼´Â Áö±Ý±îÁö ¸»ÇÑ ¹æ¹ý¿¡ ÀÇÇØ ¾òÀº ÀÚ¼¼³ª À§Ä¡Á¤º¸·ÎºÎÅÍ Çൿ ÆÄ¾ÇÀ» ÇÑ´Ù. ¿©±â¿¡¼´Â STI(State Transition Information)¸¦ °¢ ¿ÀºêÁ§Æ®¿¡ ´ëÇØ¼ ¼øÂ÷ÀûÀ¸·Î ±â·ÏÇØ ±×°ÍÀ» ÀÌ¿ëÇØ¼ Çൿ ÆÄ¾ÇÀ» ÇÑ´Ù. ¶ÇÇÑ, °ËÃâ ´ë»óÀÌ µÇ´Â Çൿ¸¶´Ù ·êÀ» ¼³Á¤Çؼ °ËÃâÇÑ´Ù. ¿¹·Î¼ °³ÂûÀ» ºüÁ®³ª°¡ ¹«´ÜħÀÔÀ» ÇÏ´Â ÇൿÀÇ STI¸¦ Ç¥ 2¿¡ ³ªÅ¸³½´Ù. ¶ÇÇÑ ÀÎÅÍ·¢¼Ç Á¤º¸¸¦ Æ÷ÇÔ½ÃŲ Çൿ ÆÄ¾Ç ¿¹¸¦ ±×¸² 8¿¡ ³ªÅ¸³½´Ù.
±×¸®°í Ç¥ 2ÀÇ p(Li)(i=1, ¡¦, 6)´Â °¢ À§Ä¡ÀÇ ¿ÀºêÁ§Æ®(Àι°)ÀÇ Á¸Àç È®·üÀÌ´Ù. ±×°ÍµéÀ» ¹ÙÅÁÀ¸·Î ÇÑ À§Ä¡ ÃßÁ¤ÀÇ °á°ú°¡ ¡®Transition of Locations¡¯ÀÇ Çà¿¡ ³ªÅ¸³»°í ÀÖ´Ù.
Æò°¡ ½ÇÇè

À̹ø ½ÇÇè¿¡¼´Â ¿¢½ºÆ®¶ó¿¡ ÀÇÇÑ ¸ðÀÇÇൿÀ» ºñµð¿ÀÄ«¸Þ¶ó·Î ÃÔ¿µÇÑ ¿µ»óÀ» Æò°¡·Î »ç¿ëÇß´Ù. Ç¥ 3¿¡ À̹ø ½ÇÇèÀ¸·Î ÆÇÁ¤À» ½ÃµµÇÑ Çൿ °³¿ä¸¦ ³ªÅ¸³½´Ù. ½ÇÇè¿¡¼´Â °¢ À̹ÌÁö ½Å¿¡ ´ëÀÀÇÑ À§Ä¡ Á¤º¸¸¦ ¹Ì¸® ¼öµ¿À¸·Î ¼³Á¤Çß´Ù. ¶Ç, ½ÇÇè¿¡¼ÀÇ È»ó󸮴 10fps·Î Çß´Ù.
½ÇÇè °á°úº¸´Ù ¿ÀŬ·çµå µÈ º¸ÇàÀÚÀÇ ÃßÀû ¼º°ø·üÀº 96%¿´´Ù. °¢ µÎ Ä«¸Þ¶ó °£ÀÇ Àι° ¸ÅĪ ¼º°ø·üÀº 91%¿´´Ù. °¢ ÀÚ¼¼¿¡ ´ëÇÑ ´ÜÀÏ Ä«¸Þ¶ó, µÎ Ä«¸Þ¶ó °¢°¢ÀÇ °æ¿ìÀÇ ÆÇº° ¼º°ø·üÀ» Ç¥ 4¿¡ ³ªÅ¸³Â´Ù. ÀÌ °°Àº °á°ú´Â À§Ä¡¸¦ °íÁ¤¹Ðµµ·Î ÃßÁ¤ÇÒ ¼ö ÀÖ°í, Çൿ ÆÄ¾ÇÀÇ Á¤¹Ðµµµµ Çâ»óÇÑ´Ù´Â ³ªÅ¸³½´Ù. À̹ø ½ÇÇèÀÇ Çൿ ÆÄ¾Ç ¿¹¸¦ ±×¸² 9¿¡ ³ªÅ¸³½´Ù. ¶Ç, ½ÇÇè µ¿¿µ»óÀ» À¥ »çÀÌÆ®(HTTP://kmj. iis. u-tokyo. ac. jp/demo_its2011)¿¡ °ø°³Çϰí ÀÖ´Ù.
À§¿¡¼ ¾ð±ÞÇÑ ¹Ù¿Í °°ÀÌ À̹ø ¿¬±¸¿¡¼´Â º¸ÇàÀÚÀÇ ¿ÀŬ·çÁ¯¿¡ ·Î¹ö½ºÆ®ÇÑ Àι°Çൿ ÆÄ¾Ç ÇÁ·¹ÀÓ¿öÅ©ÀÇ °³¹ß ¹× Æò°¡¸¦ Çß´Ù. º» ÇÁ·¹ÀÓ¿öÅ©´Â ¿ª ±¸³»ÀÇ Àι°°¨½Ã ÀÚµ¿È ¹× Àι°°¨½Ã ºñ¿ë Àý°¨¿¡ ±â¿©ÇÒ °ÍÀ¸·Î ±â´ëµÈ´Ù. º» ÇÁ·¹ÀÓ¿öÅ©¿¡¼´Â ¿ÀŬ·çÁ¯ ȯ°æ ÇÏ¿¡¼µµ º¸ÇàÀÚÀÇ ±ËÀûÃßÃâÀÌ ·Î¹ö½ºÆ®ÇÏ°Ô ÇàÇØÁö´Â °ÍÀ» È®ÀÎÇÒ ¼ö ÀÖ´Ù.
Âü°í¹®Çå
1£©N. Bird, S. Atev, N. Caramelli, R. Martin, O. Masoud, and N. Papanikolopoulos£ºReal time, online detection of abandoned objects in public areas. In Proc. of ICRA 2006., No.May, pp.3775-3780. IEEE (2006)
2£©M. Blank, L. Gorelick, E. Shechtman, and M. Irani£ºActions as space-time shapes. IEEE transactions on pattern analysis and machine intelligence, Vol.29, No.12, pp.2247-2253 (December 2005)
3£©Y. Du, F. Chen, W. Xu, and W. Zhang£ºInteracting Activity Recognition Using Hierarchical Durational-State Dynamic Bayesian Network. Advances in Multimedia Information Processing-PCM 2006, pp.185-192 (2006)
4£©S. Ferrando, G. Gera, and C. Regazzoni£ºClassification of unattended and stolen objects in video-surveillance system. In Proc. of AVSS 2006., pp.21-21. IEEE (March 2006)
5£©Y. Hyodo, K. Fujimura, T. Naito, and S. Kamijo£ºPedestrian Tracking Across Panning Camera Network. International Journal of Intelligent Transportation Systems Research, Vol.8, No.1, pp.10-25, February (2010)
6£©T. Ko£ºA survey on behavior analysis in video surveillance for homeland security applications. In AIPR 2008. 37th IEEE, pp.1-8. IEEE (2008)
7£©Y. M. Liang, S.-W. Shih, C.-C. Shih, H.-Y.M. Liao and C.-C. Lin£ºLearning atomic human actions using variablelength Markov models. Systems, Man, and Cybernetics, Part B: Cybernetics, IEEE Transactions on, Vol.39, No.1, pp.268-280, February (2009)
8£©H. C. Mo, J. J. Leou, and C. S. Lin£ºHuman Behavior Analysis Using Multiple 2D Features and Multicategory Support Vector Machine. In IAPR Conference on Machine Vision Applications (2009)
9£©T. Nanri and N. Otsu£ºUnsupervised abnormality detection in video surveillance. In IAPR Conference on Machine Vision Applications, No.c, pp.574-577. Citeseer (2005)
10)M. Spirito, C.S. Regazzoni, and L. Marcenaro£ºAvss 2005. IEEE conference on. Advanced Video and Signal Based Surveillance, IEEE Conference on, Vol.0, pp.195-200 (2005)
<±Û : ½ÃÅ¥¸®Æ¼¿ùµå ÆíÁýºÎ>
[¿ù°£ ½ÃÅ¥¸®Æ¼¿ùµå Åë±Ç Á¦196È£(sw@infothe.com)]
<ÀúÀÛ±ÇÀÚ : ½ÃÅ¥¸®Æ¼¿ùµå(www.securityworldmag.co.kr) ¹«´ÜÀüÀç-Àç¹èÆ÷±ÝÁö>



.jpg)








.jpg)
.jpg)












































.png)




_m.jpg)


.jpg)


